🇳🇴 🇬🇧 🇩🇪 🇨🇿 🇫🇮

Meteor Oppeidin yllä 2017-12-15 07:18:56 UTC

KML-tiedosto  |  Interaktiivinen kartta

Kartta näyttää meteorin suuntahavainnot. Vaaleammat viivat näyttävät suunnat havaintoasemilta meteorin ilmestyessä, ja tummemmat viivat näyttävät, missä se viimeksi nähtiin. Sininen nuoli näyttää meteorin näkyvän lennon.

static map
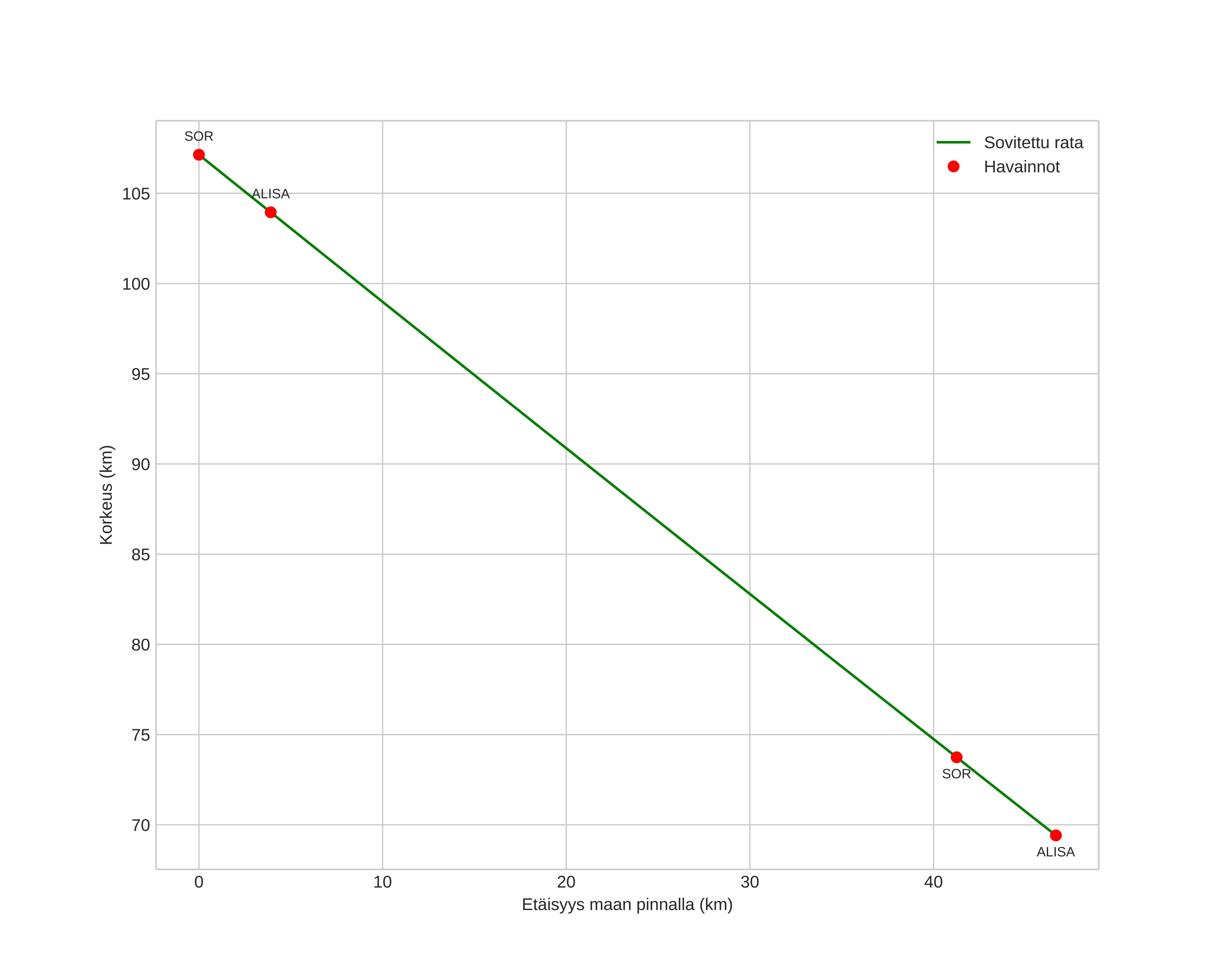
height profile
Meteorin ilmakehärata:
Alkukorkeus: 107,1 km
Loppukorkeus: 69,4 km
Alkupiste: 67,683N 15,925E
Loppupiste: 68,094N 15,708E
Suunta: 348,8°
Kallistuskulma: 38,9°
Tulonopeus: 62,8 km/s
Radiantin R,A,: 14:33 (218,4°)
Radiantin Dekl,: 16,6°
Meteoriparvi: Sporadinen
Meteoroidin rataelementit:
Perihelietäisyys: 0,551 AU
Eksentrisyys: 1,202
Inklinaatio: 112,4°
Nousevan solmun pituus: 263,3°
Perihelin argumentti: 101,2°
Keskianomalia: 7,4°
Epookki: 2017 DEC 15 07:18:56
orbit plot

Ei-interaktiivinen kuvaaja | Interaktiivinen kuvaaja

position vs time
speed and acceleration

Sorreisa (SOR) cam1


gnomonic
Videot:
• Gnomoninen
• Gnomoninen koordinaateilla
• Alkuperäinen
• Alkuperäinen koordinaateilla
Kuvat:
• Gnomoninen
• Gnomoninen koordinaateilla
• Gnomoninen merkinnöillä
• Alkuperäinen
• Alkuperäinen koordinaateilla
• Alkuperäinen maskilla
Tekstitiedostot:
• Havaintoraportti
• Observaatio
• Koordinaatit
• Virheilmoitukset
• Loki
Kirkkaus