🇳🇴 🇬🇧 🇩🇪 🇨🇿 🇫🇮

Meteor, poloha: Skjærhalden 2017-12-22 04:31:37 UTC

Soubor KML  |  InteraktivnĂ­ mapa

Mapa zobrazuje dráhy meteoru. Světlejší čáry ukazují směry od pozorovacích stanic při objevení se meteoru a tmavší čáry, kde byl naposledy viděn. Modrá šipka značí viditelnou dráhu meteoru.

static map
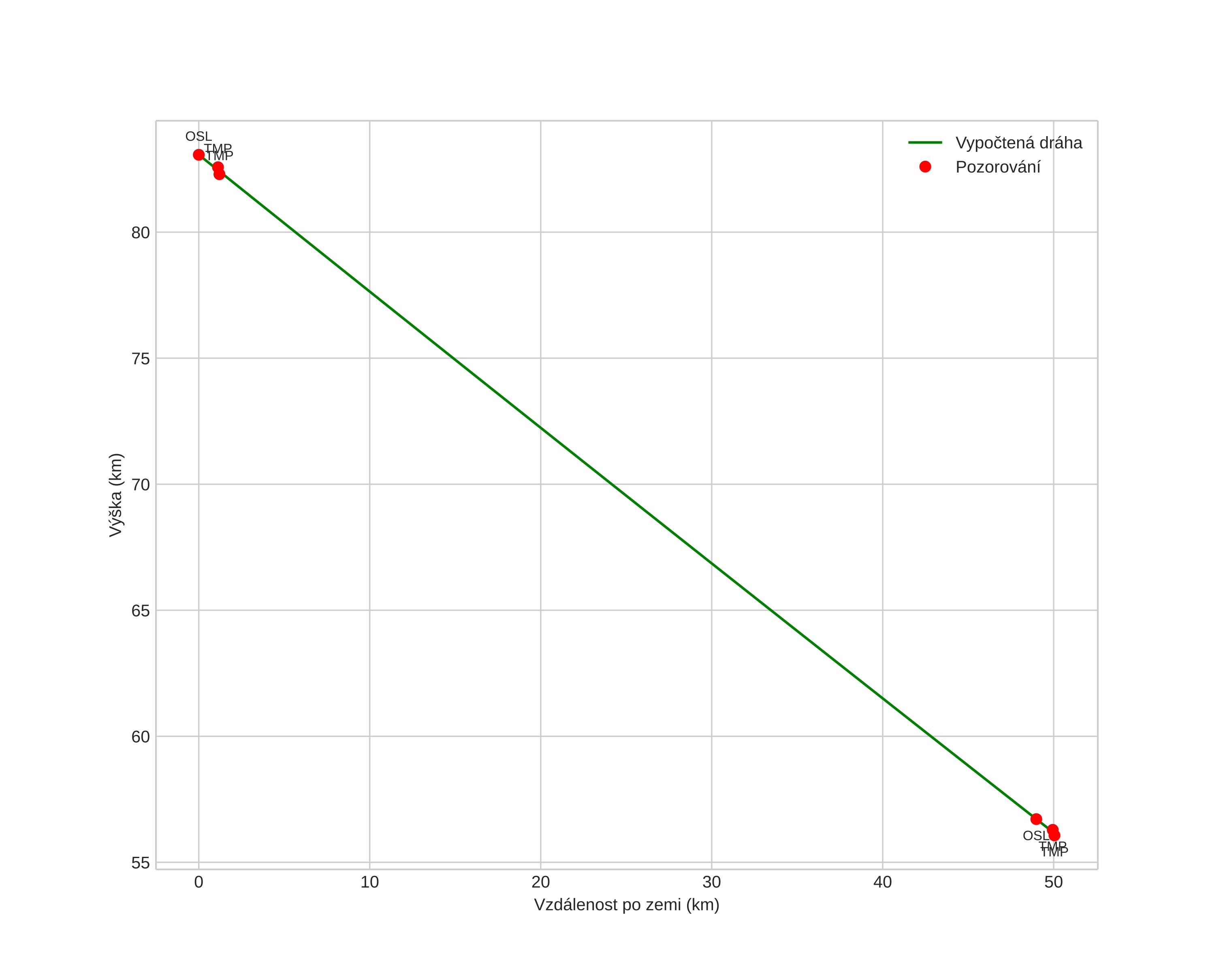
height profile
Atmosférická dráha meteoru:
Počáteční výška: 83,1 km
Konečná výška: 56,1 km
Počáteční poloha: 58,670N 9,889E
Konečná poloha: 58,620N 10,750E
Směr: 96,0°
Sklon: 28,3°
VstupnĂ­ rychlost: 19,8 km/s
Rektascenze radiantu: 05:41 (85,3°)
Deklinace radiantu: 21,4°
MeteorickĂ˝ roj: sporadickĂ˝
Elementy dráhy meteoroidu:
Vzdálenost v periheliu: 0,684 AU
Excentricita: 0,595
Sklon dráhy: 1,1°
Délka vzestupného uzlu: 90,4°
Argument perihelia: 79,2°
Střední anomálie: 338,9°
Epocha: 2017 DEC 22 04:31:37
orbit plot

NeinteraktivnĂ­ graf | InteraktivnĂ­ graf

position vs time
speed and acceleration