🇳🇴 🇬🇧 🇩🇪 🇨🇿 🇫🇮

Meteor Skjærhaldenin yllä 2017-12-22 04:31:37 UTC

KML-tiedosto  |  Interaktiivinen kartta

Kartta näyttää meteorin suuntahavainnot. Vaaleammat viivat näyttävät suunnat havaintoasemilta meteorin ilmestyessä, ja tummemmat viivat näyttävät, missä se viimeksi nähtiin. Sininen nuoli näyttää meteorin näkyvän lennon.

static map
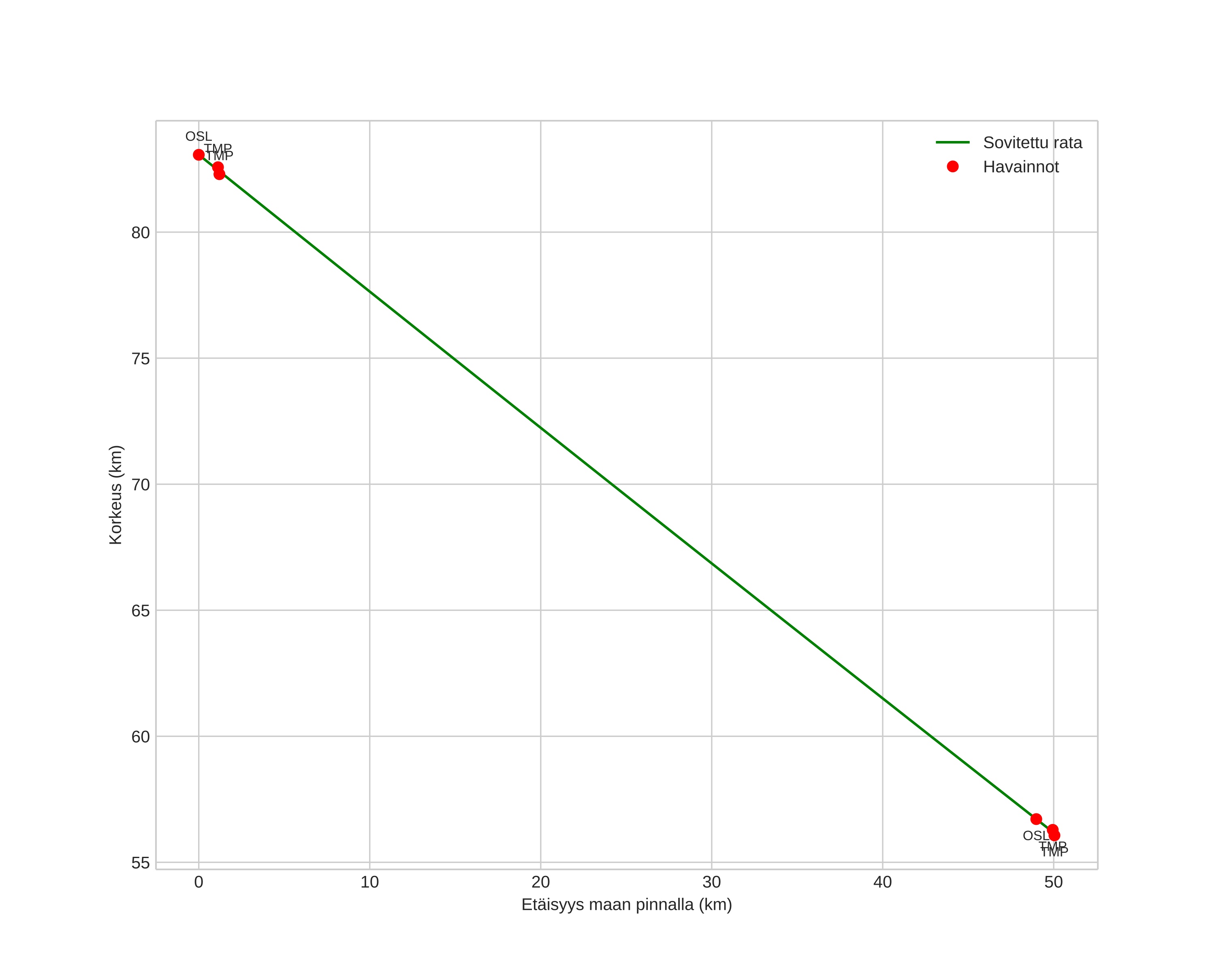
height profile
Meteorin ilmakehärata:
Alkukorkeus: 83,1 km
Loppukorkeus: 56,1 km
Alkupiste: 58,670N 9,889E
Loppupiste: 58,620N 10,750E
Suunta: 96,0°
Kallistuskulma: 28,3°
Tulonopeus: 19,8 km/s
Radiantin R,A,: 05:41 (85,3°)
Radiantin Dekl,: 21,4°
Meteoriparvi: Sporadinen
Meteoroidin rataelementit:
Perihelietäisyys: 0,684 AU
Eksentrisyys: 0,595
Inklinaatio: 1,1°
Nousevan solmun pituus: 90,4°
Perihelin argumentti: 79,2°
Keskianomalia: 338,9°
Epookki: 2017 DEC 22 04:31:37
orbit plot

Ei-interaktiivinen kuvaaja | Interaktiivinen kuvaaja

position vs time
speed and acceleration