🇳🇴 🇬🇧 🇩🇪 🇨🇿 🇫🇮

Meteor, poloha: Uddevalla 2017-12-22 05:39:54 UTC

Soubor KML  |  InteraktivnĂ­ mapa

Mapa zobrazuje dráhy meteoru. Světlejší čáry ukazují směry od pozorovacích stanic při objevení se meteoru a tmavší čáry, kde byl naposledy viděn. Modrá šipka značí viditelnou dráhu meteoru.

static map
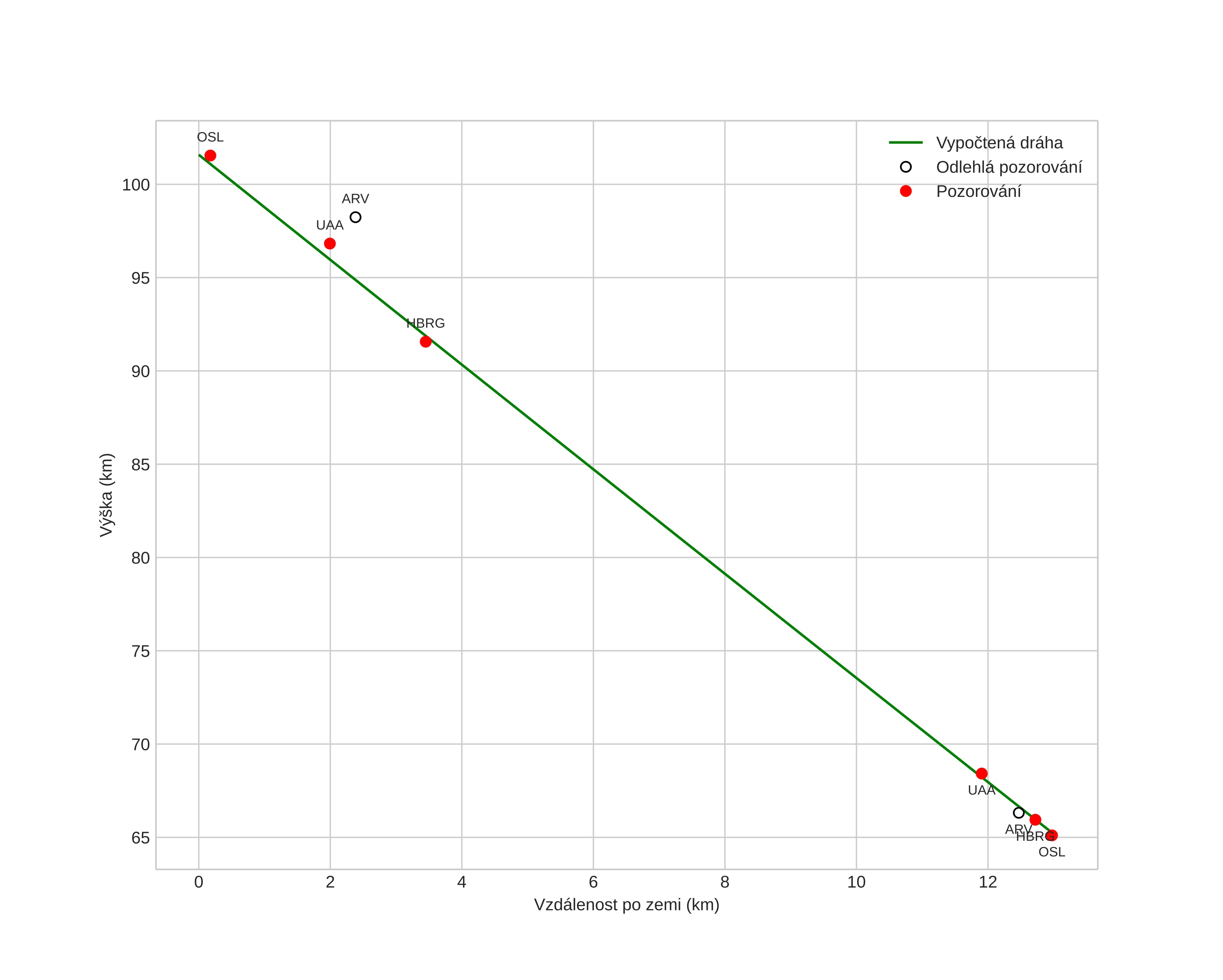
height profile
Atmosférická dráha meteoru:
Počáteční výška: 101,6 km
Konečná výška: 65,1 km
Počáteční poloha: 58,556N 12,075E
Konečná poloha: 58,447N 11,995E
Směr: 201,1°
Sklon: 70,4°
VstupnĂ­ rychlost: 34,5 km/s
Rektascenze radiantu: 14:24 (216,2°)
Deklinace radiantu: 75,8°
MeteorickĂ˝ roj: Ursidy
Elementy dráhy meteoroidu:
Vzdálenost v periheliu: 0,934 AU
Excentricita: 0,779
Sklon dráhy: 52,3°
Délka vzestupného uzlu: 270,3°
Argument perihelia: 207,7°
Střední anomálie: 357,8°
Epocha: 2017 DEC 22 05:39:54
orbit plot

NeinteraktivnĂ­ graf | InteraktivnĂ­ graf

position vs time
speed and acceleration