🇳🇴 🇬🇧 🇩🇪 🇨🇿 🇫🇮

Meteor Uddevallan yllä 2017-12-22 05:39:54 UTC

KML-tiedosto  |  Interaktiivinen kartta

Kartta näyttää meteorin suuntahavainnot. Vaaleammat viivat näyttävät suunnat havaintoasemilta meteorin ilmestyessä, ja tummemmat viivat näyttävät, missä se viimeksi nähtiin. Sininen nuoli näyttää meteorin näkyvän lennon.

static map
height profile
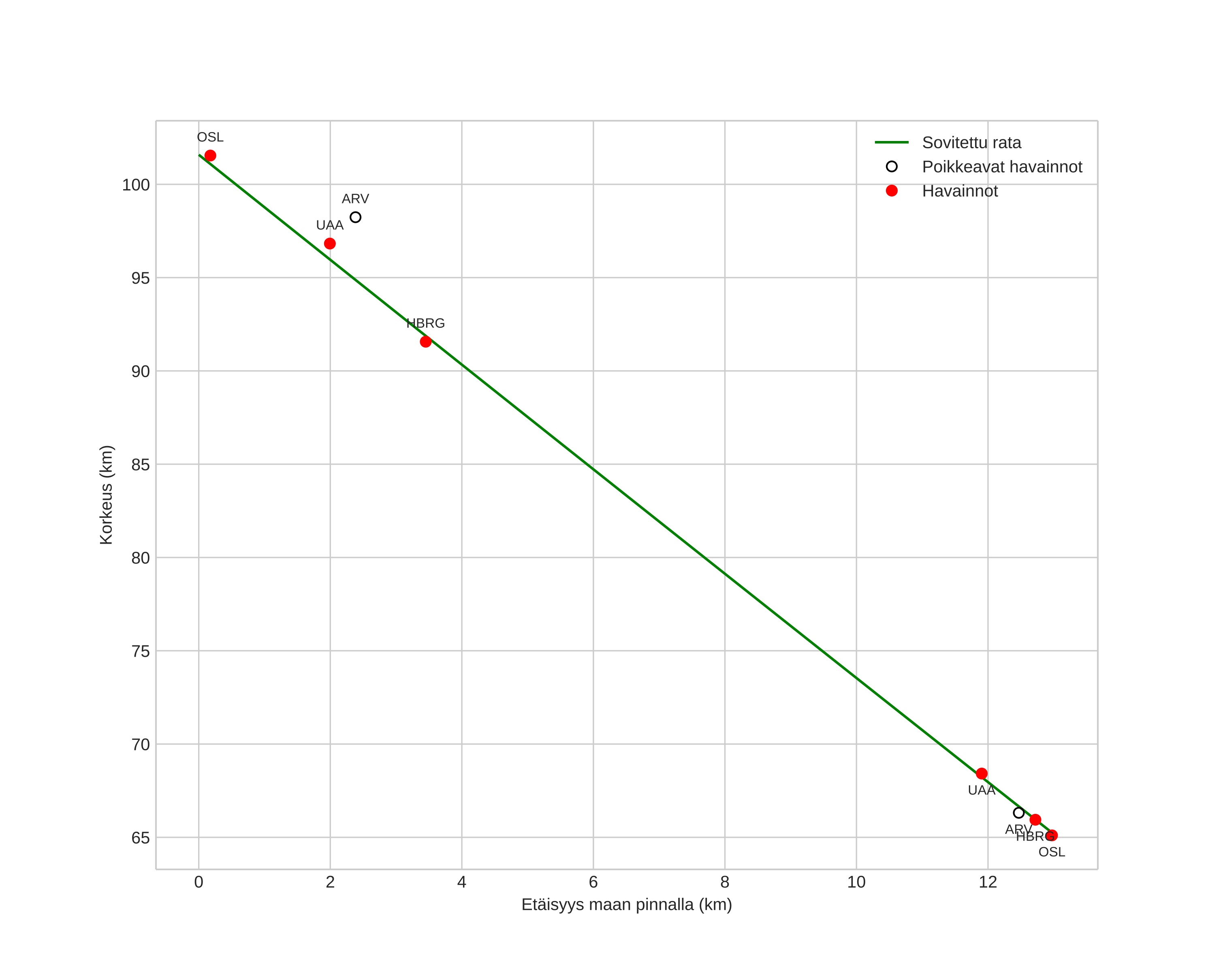
Meteorin ilmakehärata:
Alkukorkeus: 101,6 km
Loppukorkeus: 65,1 km
Alkupiste: 58,556N 12,075E
Loppupiste: 58,447N 11,995E
Suunta: 201,1°
Kallistuskulma: 70,4°
Tulonopeus: 34,5 km/s
Radiantin R,A,: 14:24 (216,2°)
Radiantin Dekl,: 75,8°
Meteoriparvi: Ursidit
Meteoroidin rataelementit:
Perihelietäisyys: 0,934 AU
Eksentrisyys: 0,779
Inklinaatio: 52,3°
Nousevan solmun pituus: 270,3°
Perihelin argumentti: 207,7°
Keskianomalia: 357,8°
Epookki: 2017 DEC 22 05:39:54
orbit plot

Ei-interaktiivinen kuvaaja | Interaktiivinen kuvaaja

position vs time
speed and acceleration