🇳🇴 🇬🇧 🇩🇪 🇨🇿 🇫🇮

Meteor, poloha: Setermoen 2017-12-22 22:55:04 UTC

Soubor KML  |  InteraktivnĂ­ mapa

Mapa zobrazuje dráhy meteoru. Světlejší čáry ukazují směry od pozorovacích stanic při objevení se meteoru a tmavší čáry, kde byl naposledy viděn. Modrá šipka značí viditelnou dráhu meteoru.

static map
height profile
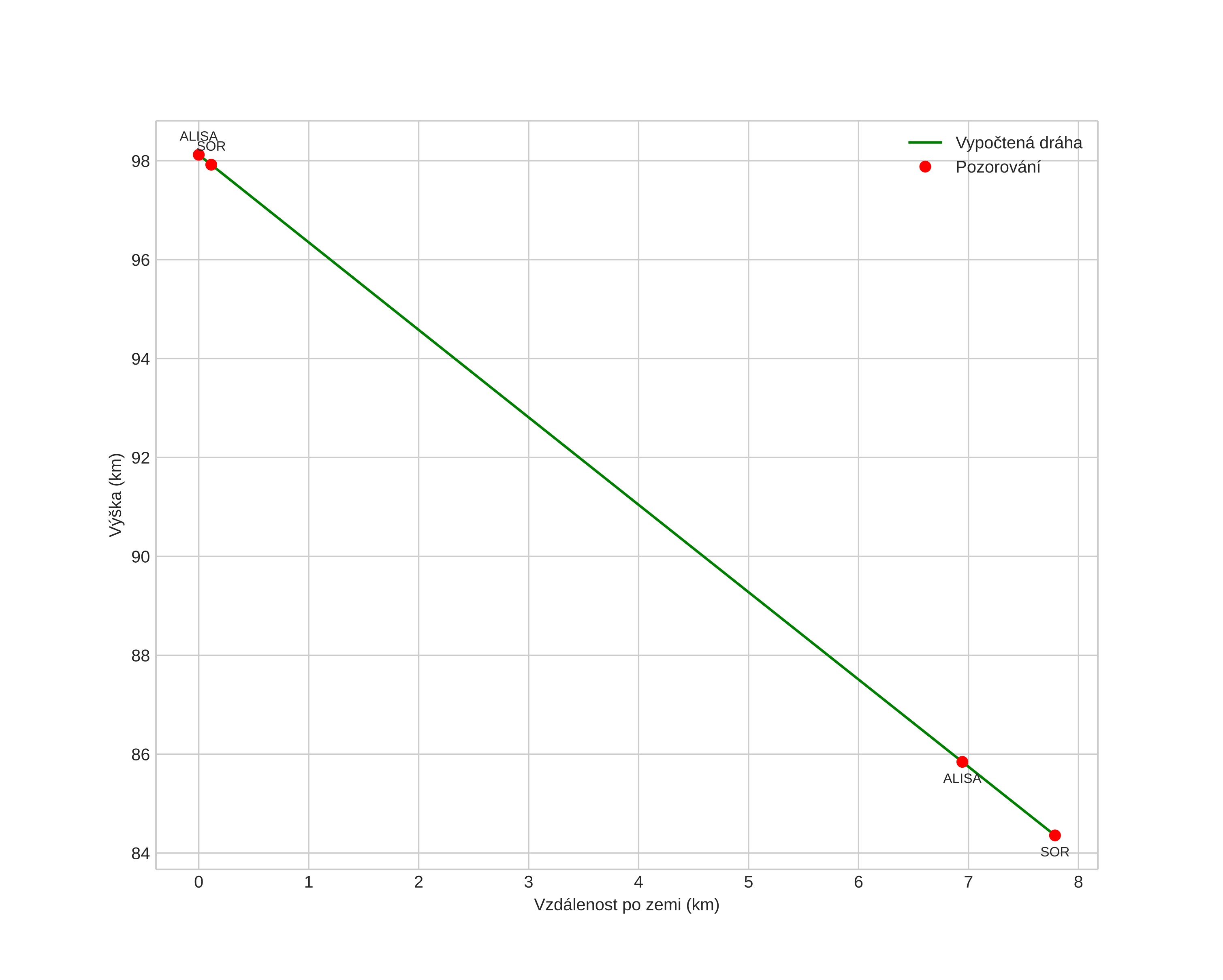
Atmosférická dráha meteoru:
Počáteční výška: 98,1 km
Konečná výška: 84,4 km
Počáteční poloha: 68,387N 18,273E
Konečná poloha: 68,324N 18,192E
Směr: 205,2°
Sklon: 60,4°
VstupnĂ­ rychlost: 37,9 km/s
Rektascenze radiantu: 14:00 (210,1°)
Deklinace radiantu: 76,5°
MeteorickĂ˝ roj: Ursidy
Elementy dráhy meteoroidu:
Vzdálenost v periheliu: 0,925 AU
Excentricita: 0,992
Sklon dráhy: 55,7°
Délka vzestupného uzlu: 271,0°
Argument perihelia: 208,4°
Střední anomálie: 360,0°
Epocha: 2017 DEC 22 22:55:04
orbit plot

NeinteraktivnĂ­ graf | InteraktivnĂ­ graf

position vs time
speed and acceleration