🇳🇴 🇬🇧 🇩🇪 🇨🇿 🇫🇮

Meteor Setermoenin yllä 2017-12-22 22:55:04 UTC

KML-tiedosto  |  Interaktiivinen kartta

Kartta näyttää meteorin suuntahavainnot. Vaaleammat viivat näyttävät suunnat havaintoasemilta meteorin ilmestyessä, ja tummemmat viivat näyttävät, missä se viimeksi nähtiin. Sininen nuoli näyttää meteorin näkyvän lennon.

static map
height profile
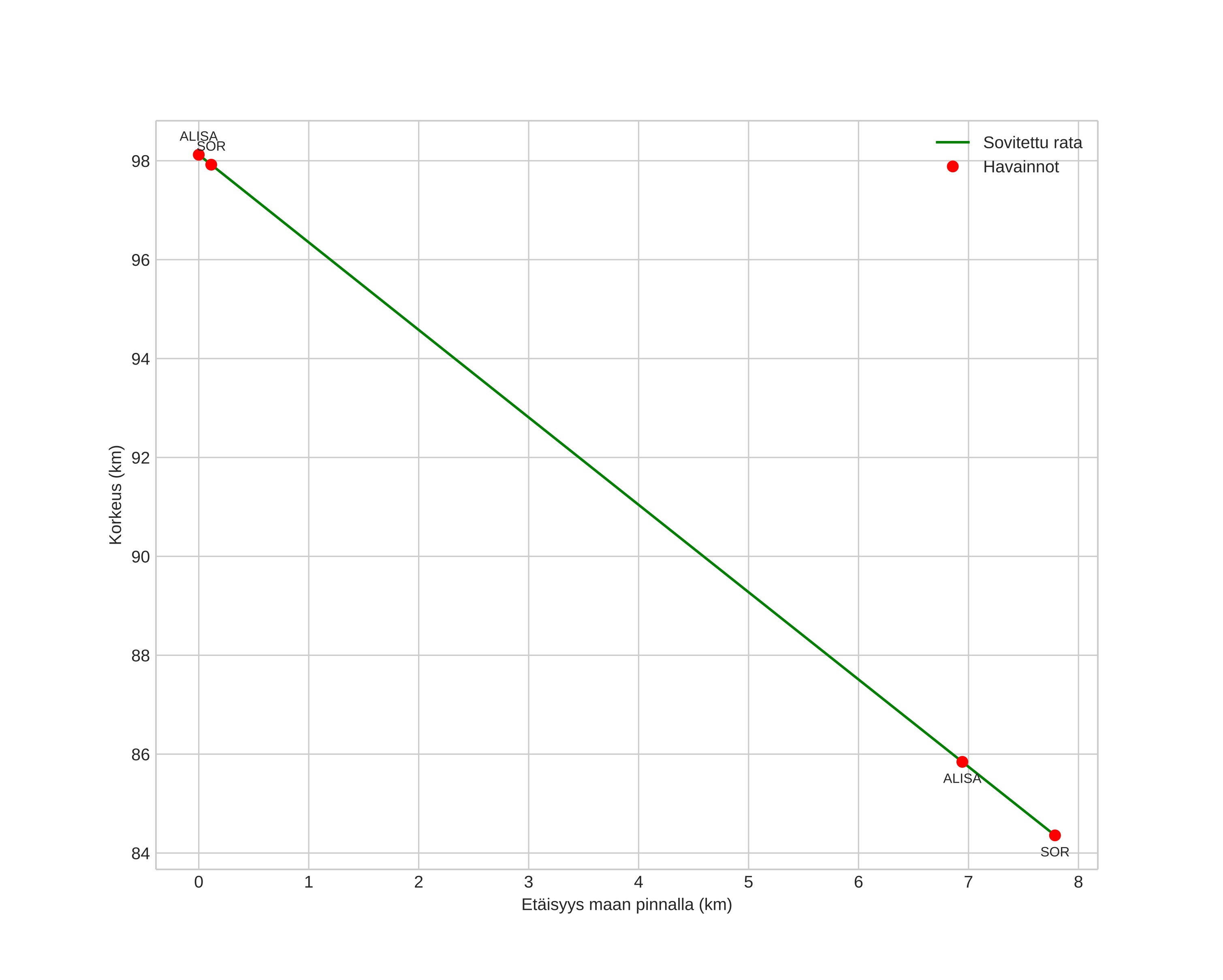
Meteorin ilmakehärata:
Alkukorkeus: 98,1 km
Loppukorkeus: 84,4 km
Alkupiste: 68,387N 18,273E
Loppupiste: 68,324N 18,192E
Suunta: 205,2°
Kallistuskulma: 60,4°
Tulonopeus: 37,9 km/s
Radiantin R,A,: 14:00 (210,1°)
Radiantin Dekl,: 76,5°
Meteoriparvi: Ursidit
Meteoroidin rataelementit:
Perihelietäisyys: 0,925 AU
Eksentrisyys: 0,992
Inklinaatio: 55,7°
Nousevan solmun pituus: 271,0°
Perihelin argumentti: 208,4°
Keskianomalia: 360,0°
Epookki: 2017 DEC 22 22:55:04
orbit plot

Ei-interaktiivinen kuvaaja | Interaktiivinen kuvaaja

position vs time
speed and acceleration