🇳🇴 🇬🇧 🇩🇪 🇨🇿 🇫🇮

Meteor, poloha: Kolbotn 2017-12-24 04:47:43 UTC

Soubor KML  |  InteraktivnĂ­ mapa

Mapa zobrazuje dráhy meteoru. Světlejší čáry ukazují směry od pozorovacích stanic při objevení se meteoru a tmavší čáry, kde byl naposledy viděn. Modrá šipka značí viditelnou dráhu meteoru.

static map
height profile
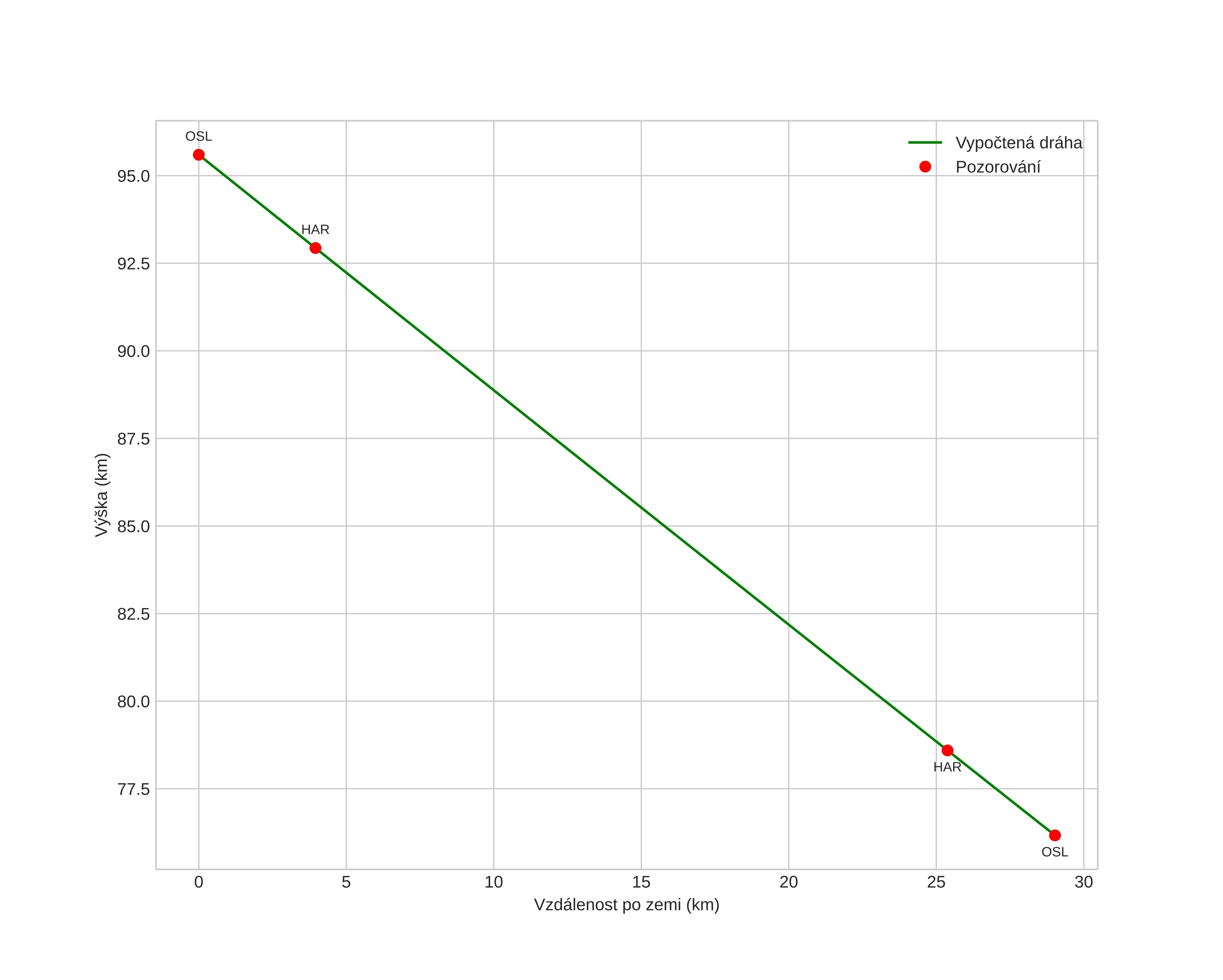
Atmosférická dráha meteoru:
Počáteční výška: 95,6 km
Konečná výška: 76,2 km
Počáteční poloha: 59,767N 10,286E
Konečná poloha: 59,768N 10,805E
Směr: 89,5°
Sklon: 33,8°
VstupnĂ­ rychlost: 30,1 km/s
Rektascenze radiantu: 06:49 (102,3°)
Deklinace radiantu: 26,4°
MeteorickĂ˝ roj: sporadickĂ˝
Elementy dráhy meteoroidu:
Vzdálenost v periheliu: 0,403 AU
Excentricita: 0,843
Sklon dráhy: 3,7°
Délka vzestupného uzlu: 272,3°
Argument perihelia: 287,0°
Střední anomálie: 349,9°
Epocha: 2017 DEC 24 04:47:43
orbit plot

NeinteraktivnĂ­ graf | InteraktivnĂ­ graf

position vs time
speed and acceleration