🇳🇴 🇬🇧 🇩🇪 🇨🇿 🇫🇮

Meteor Kolbotnin yllä 2017-12-24 04:47:43 UTC

KML-tiedosto  |  Interaktiivinen kartta

Kartta näyttää meteorin suuntahavainnot. Vaaleammat viivat näyttävät suunnat havaintoasemilta meteorin ilmestyessä, ja tummemmat viivat näyttävät, missä se viimeksi nähtiin. Sininen nuoli näyttää meteorin näkyvän lennon.

static map
height profile
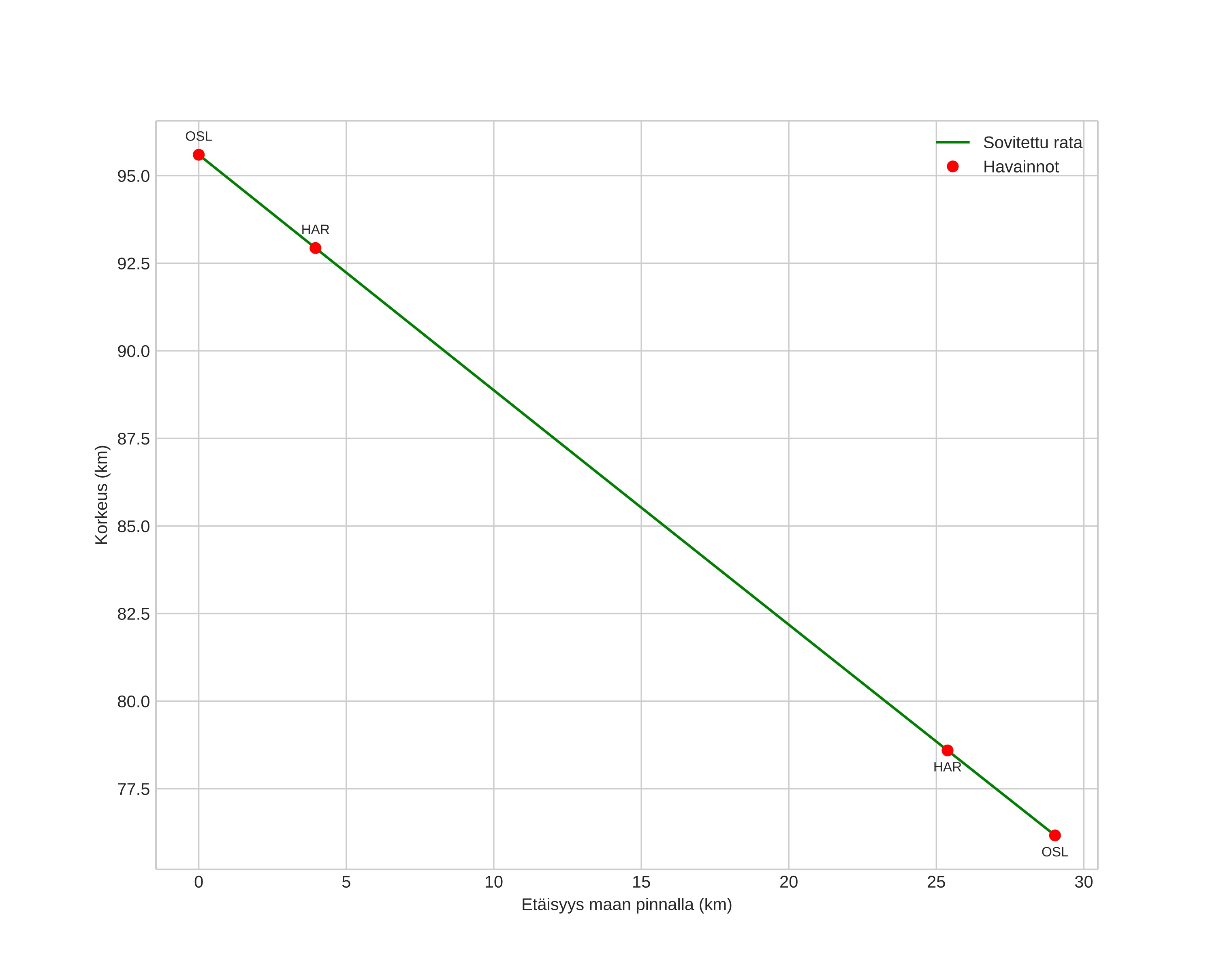
Meteorin ilmakehärata:
Alkukorkeus: 95,6 km
Loppukorkeus: 76,2 km
Alkupiste: 59,767N 10,286E
Loppupiste: 59,768N 10,805E
Suunta: 89,5°
Kallistuskulma: 33,8°
Tulonopeus: 30,1 km/s
Radiantin R,A,: 06:49 (102,3°)
Radiantin Dekl,: 26,4°
Meteoriparvi: Sporadinen
Meteoroidin rataelementit:
Perihelietäisyys: 0,403 AU
Eksentrisyys: 0,843
Inklinaatio: 3,7°
Nousevan solmun pituus: 272,3°
Perihelin argumentti: 287,0°
Keskianomalia: 349,9°
Epookki: 2017 DEC 24 04:47:43
orbit plot

Ei-interaktiivinen kuvaaja | Interaktiivinen kuvaaja

position vs time
speed and acceleration