🇳🇴 🇬🇧 🇩🇪 🇨🇿 🇫🇮

Meteor, poloha: Storsteinnes 2017-12-24 23:15:17 UTC

Soubor KML  |  InteraktivnĂ­ mapa

Mapa zobrazuje dráhy meteoru. Světlejší čáry ukazují směry od pozorovacích stanic při objevení se meteoru a tmavší čáry, kde byl naposledy viděn. Modrá šipka značí viditelnou dráhu meteoru.

static map
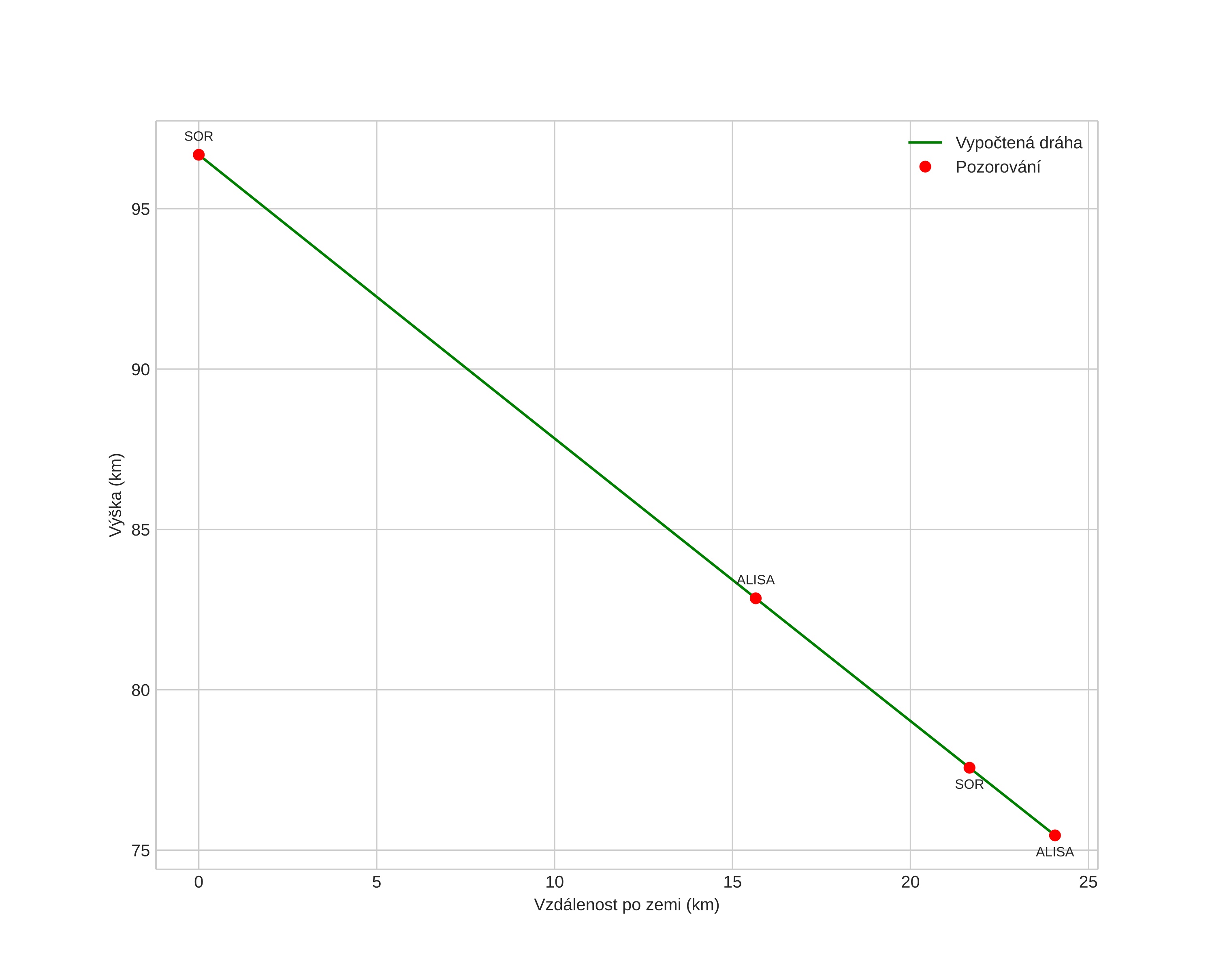
height profile
Atmosférická dráha meteoru:
Počáteční výška: 96,7 km
Konečná výška: 75,5 km
Počáteční poloha: 68,661N 19,083E
Konečná poloha: 68,878N 19,098E
Směr: 1,4°
Sklon: 41,4°
VstupnĂ­ rychlost: 28,5 km/s
Rektascenze radiantu: 06:38 (99,7°)
Deklinace radiantu: 17,9°
MeteorickĂ˝ roj: sporadickĂ˝
Elementy dráhy meteoroidu:
Vzdálenost v periheliu: 0,457 AU
Excentricita: 0,814
Sklon dráhy: 5,0°
Délka vzestupného uzlu: 93,1°
Argument perihelia: 101,1°
Střední anomálie: 349,0°
Epocha: 2017 DEC 24 23:15:17
orbit plot

NeinteraktivnĂ­ graf | InteraktivnĂ­ graf

position vs time
speed and acceleration