🇳🇴 🇬🇧 🇩🇪 🇨🇿 🇫🇮

Meteor über Storsteinnes 2017-12-24 23:15:17 UTC

KML-Datei  |  Interaktive Karte

Die Karte zeigt die Peilungen für den Meteor. Die helleren Linien zeigen die Richtungen von den Beobachtungsorten beim Erscheinen des Meteors, und die dunkleren Linien, wo er zuletzt gesehen wurde. Der blaue Pfeil zeigt die sichtbare Bahn des Meteors.

static map
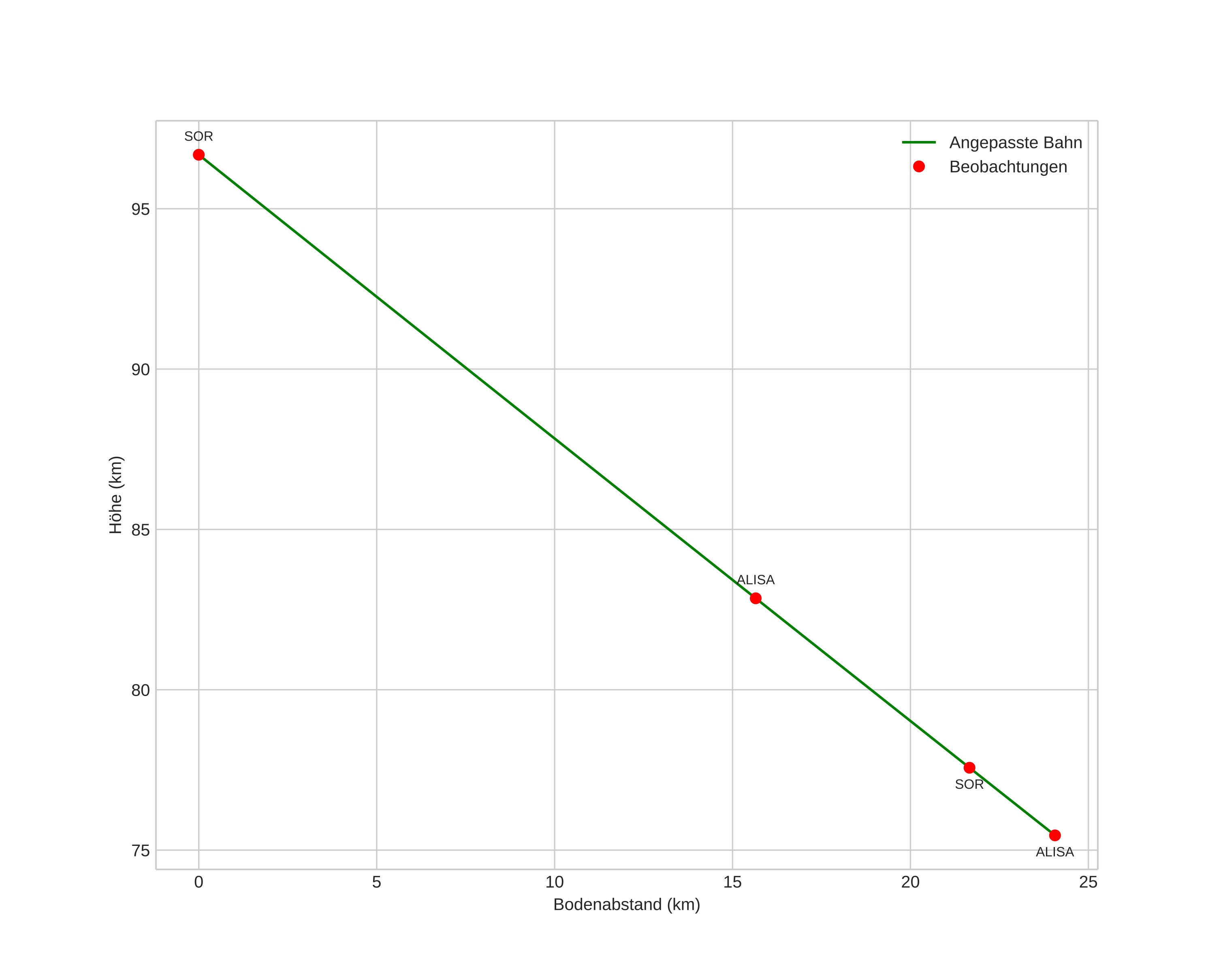
height profile
Atmosphärische Bahn des Meteors:
Anfangshöhe: 96,7 km
Endhöhe: 75,5 km
Startposition: 68,661N 19,083E
Endposition: 68,878N 19,098E
Richtung: 1,4°
Neigungswinkel: 41,4°
Eintrittsgeschwindigkeit: 28,5 km/s
Rektaszension des Radianten: 06:38 (99,7°)
Deklination des Radianten: 17,9°
Meteorstrom: sporadisch
Bahnelemente des Meteoroiden:
Periheldistanz: 0,457 AU
Exzentrizität: 0,814
Inklination: 5,0°
Länge des aufsteigenden Knotens: 93,1°
Argument des Perihels: 101,1°
Mittlere Anomalie: 349,0°
Epoche: 2017 DEC 24 23:15:17
orbit plot

Nicht-interaktives Diagramm | Interaktives Diagramm

position vs time
speed and acceleration