🇳🇴 🇬🇧 🇩🇪 🇨🇿 🇫🇮

Meteor, poloha: Lødingen 2017-12-29 01:52:32 UTC

Soubor KML  |  InteraktivnĂ­ mapa

Mapa zobrazuje dráhy meteoru. Světlejší čáry ukazují směry od pozorovacích stanic při objevení se meteoru a tmavší čáry, kde byl naposledy viděn. Modrá šipka značí viditelnou dráhu meteoru.

static map
height profile
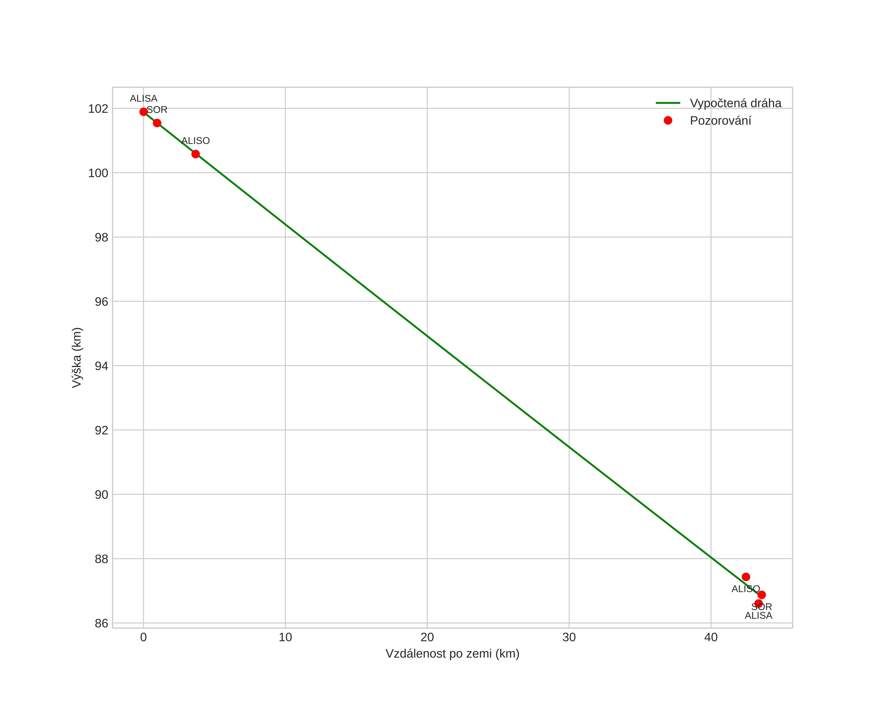
Atmosférická dráha meteoru:
Počáteční výška: 101,9 km
Konečná výška: 86,8 km
Počáteční poloha: 67,656N 16,834E
Konečná poloha: 67,965N 16,196E
Směr: 322,4°
Sklon: 19,1°
VstupnĂ­ rychlost: 73,0 km/s
Rektascenze radiantu: 11:50 (177,6°)
Deklinace radiantu: 0,7°
MeteorickĂ˝ roj: sporadickĂ˝
Elementy dráhy meteoroidu:
Vzdálenost v periheliu: 0,902 AU
Excentricita: 1,006
Sklon dráhy: 179,4°
Délka vzestupného uzlu: 97,1°
Argument perihelia: 33,3°
Střední anomálie: -0,0°
Epocha: 2017 DEC 29 01:52:32
orbit plot

NeinteraktivnĂ­ graf | InteraktivnĂ­ graf

position vs time
speed and acceleration