🇳🇴 🇬🇧 🇩🇪 🇨🇿 🇫🇮

Meteor Lødingenin yllä 2017-12-29 01:52:32 UTC

KML-tiedosto  |  Interaktiivinen kartta

Kartta näyttää meteorin suuntahavainnot. Vaaleammat viivat näyttävät suunnat havaintoasemilta meteorin ilmestyessä, ja tummemmat viivat näyttävät, missä se viimeksi nähtiin. Sininen nuoli näyttää meteorin näkyvän lennon.

static map
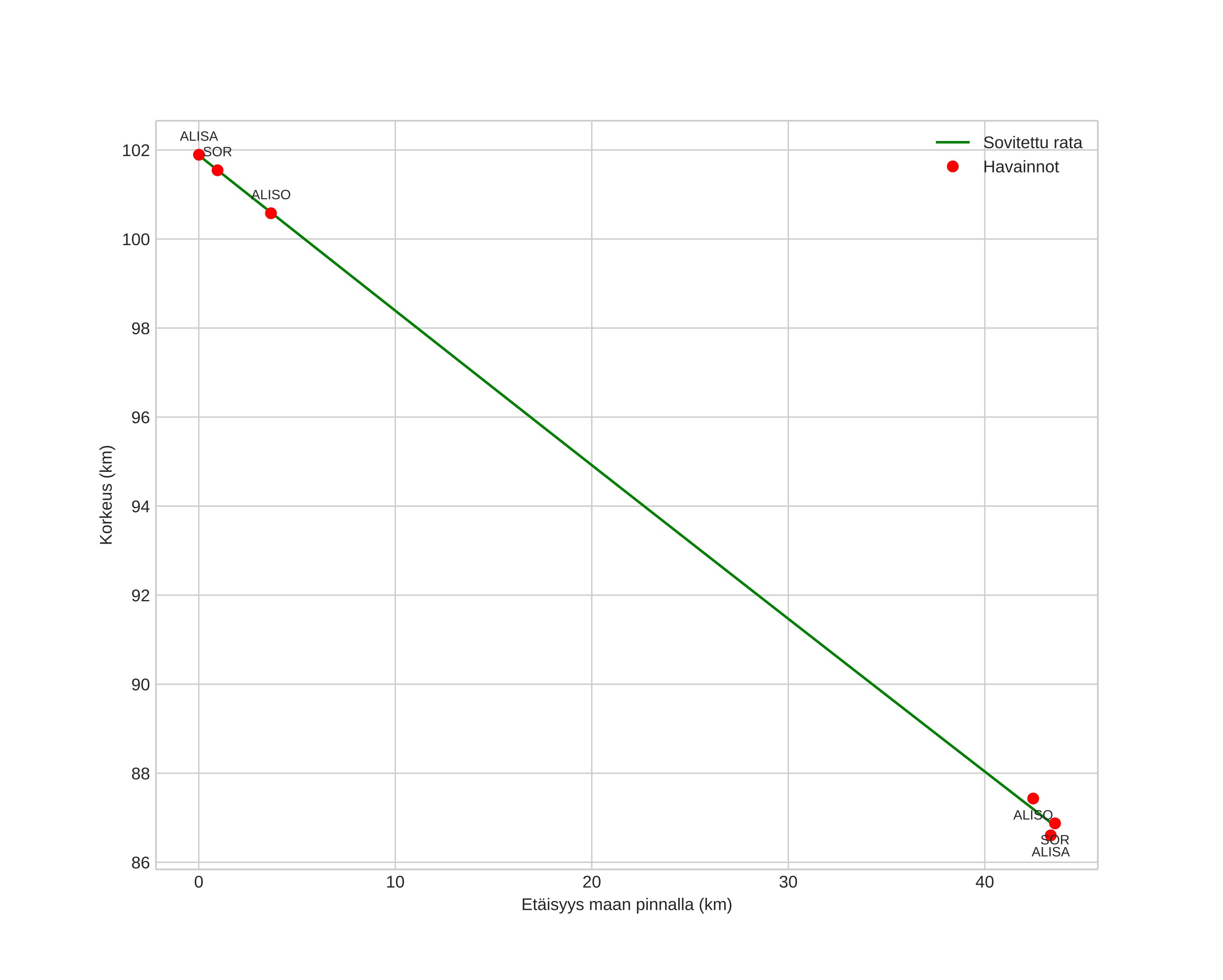
height profile
Meteorin ilmakehärata:
Alkukorkeus: 101,9 km
Loppukorkeus: 86,8 km
Alkupiste: 67,656N 16,834E
Loppupiste: 67,965N 16,196E
Suunta: 322,4°
Kallistuskulma: 19,1°
Tulonopeus: 73,0 km/s
Radiantin R,A,: 11:50 (177,6°)
Radiantin Dekl,: 0,7°
Meteoriparvi: Sporadinen
Meteoroidin rataelementit:
Perihelietäisyys: 0,902 AU
Eksentrisyys: 1,006
Inklinaatio: 179,4°
Nousevan solmun pituus: 97,1°
Perihelin argumentti: 33,3°
Keskianomalia: -0,0°
Epookki: 2017 DEC 29 01:52:32
orbit plot

Ei-interaktiivinen kuvaaja | Interaktiivinen kuvaaja

position vs time
speed and acceleration