🇳🇴 🇬🇧 🇩🇪 🇨🇿 🇫🇮

Meteor, poloha: Storsteinnes 2018-01-04 06:06:28 UTC

Soubor KML  |  InteraktivnĂ­ mapa

Mapa zobrazuje dráhy meteoru. Světlejší čáry ukazují směry od pozorovacích stanic při objevení se meteoru a tmavší čáry, kde byl naposledy viděn. Modrá šipka značí viditelnou dráhu meteoru.

static map
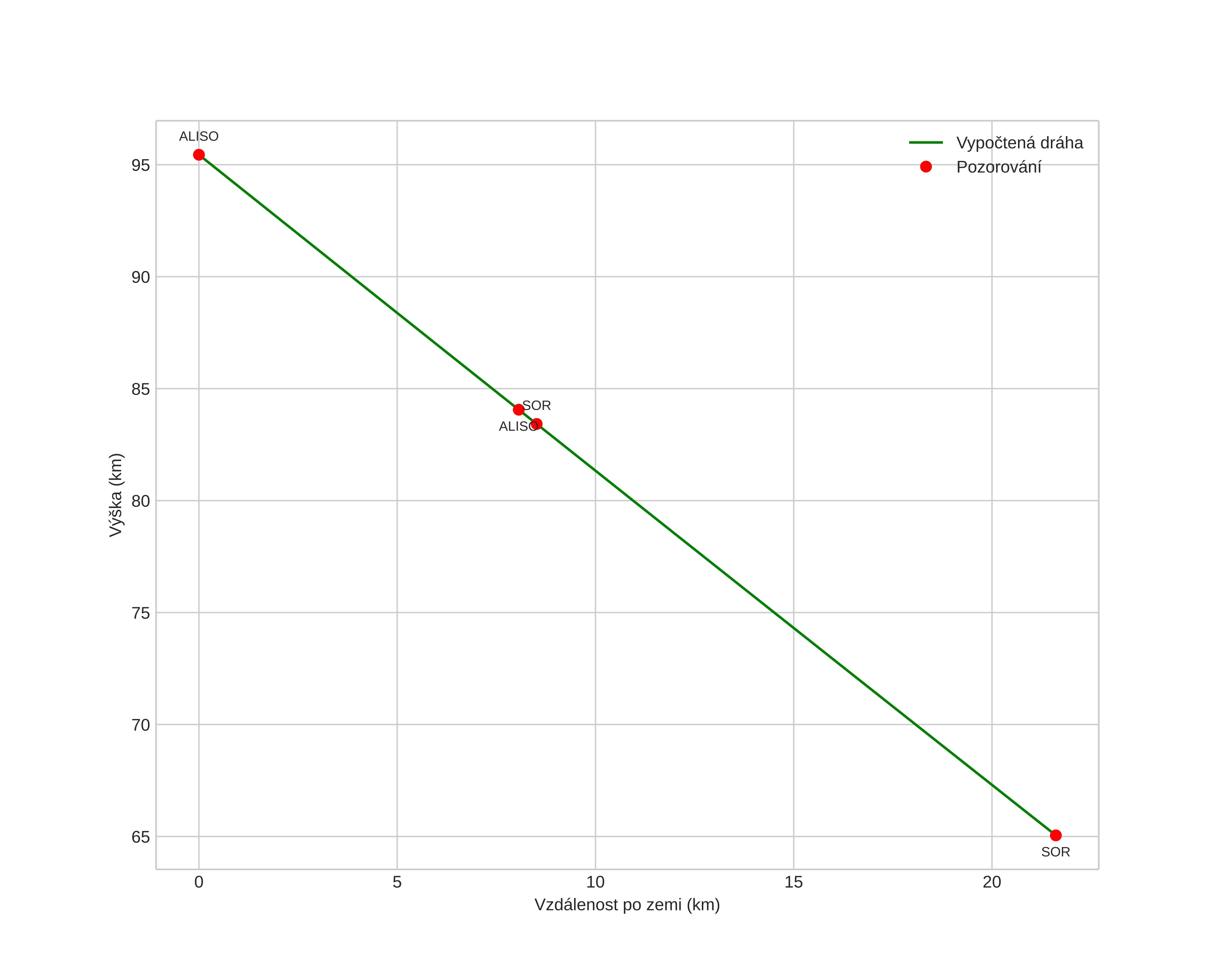
height profile
Atmosférická dráha meteoru:
Počáteční výška: 95,4 km
Konečná výška: 65,1 km
Počáteční poloha: 68,287N 19,598E
Konečná poloha: 68,451N 19,317E
Směr: 327,9°
Sklon: 54,5°
VstupnĂ­ rychlost: 73,0 km/s
Rektascenze radiantu: 15:47 (236,8°)
Deklinace radiantu: 34,9°
MeteorickĂ˝ roj: sporadickĂ˝
Elementy dráhy meteoroidu:
Vzdálenost v periheliu: 0,909 AU
Excentricita: 3,040
Sklon dráhy: 98,0°
Délka vzestupného uzlu: 283,6°
Argument perihelia: 154,1°
Střední anomálie: 39,6°
Epocha: 2018 JAN 04 06:06:28
orbit plot

NeinteraktivnĂ­ graf | InteraktivnĂ­ graf

position vs time
speed and acceleration