🇳🇴 🇬🇧 🇩🇪 🇨🇿 🇫🇮

Meteor Storsteinnesin yllä 2018-01-04 06:06:28 UTC

KML-tiedosto  |  Interaktiivinen kartta

Kartta näyttää meteorin suuntahavainnot. Vaaleammat viivat näyttävät suunnat havaintoasemilta meteorin ilmestyessä, ja tummemmat viivat näyttävät, missä se viimeksi nähtiin. Sininen nuoli näyttää meteorin näkyvän lennon.

static map
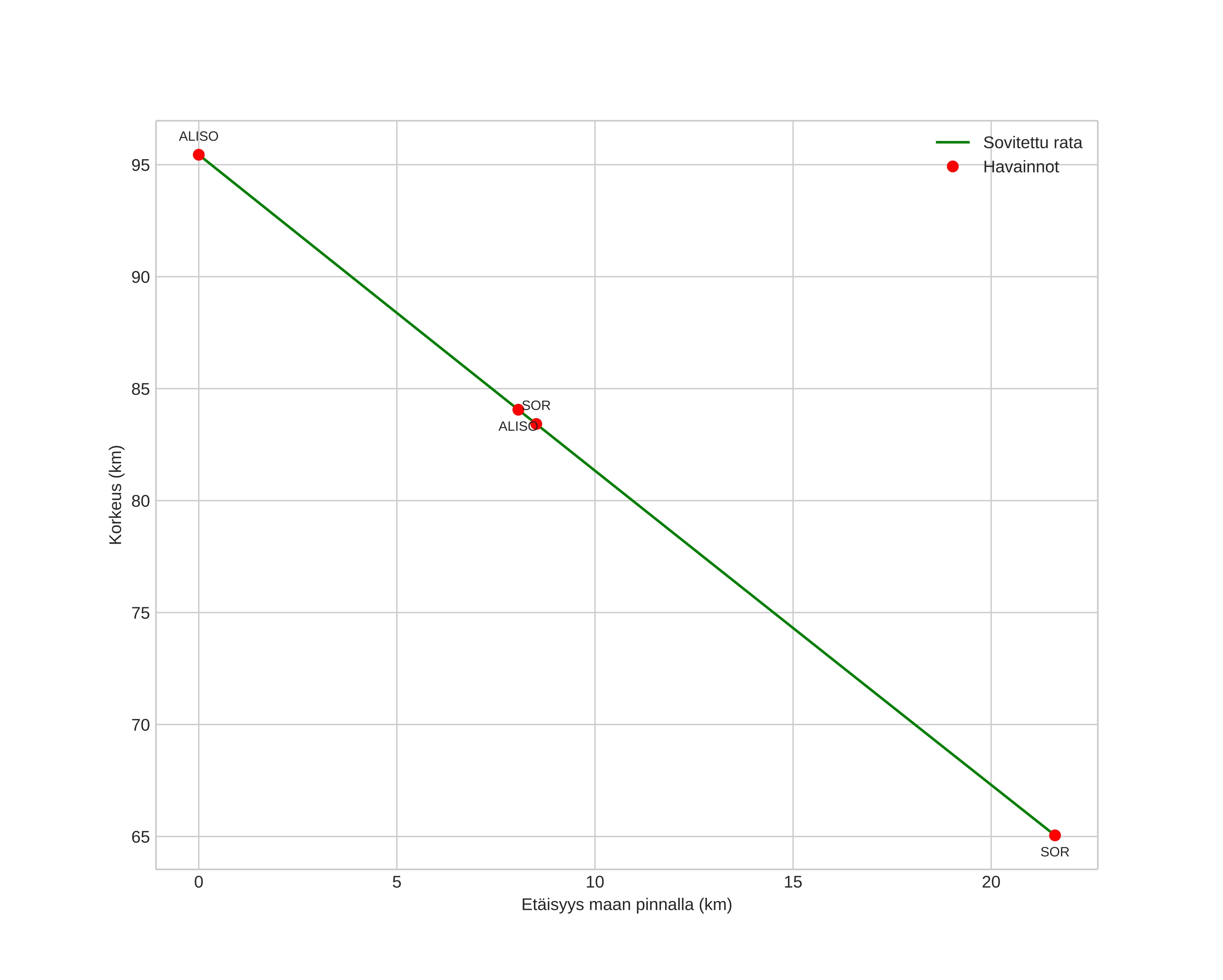
height profile
Meteorin ilmakehärata:
Alkukorkeus: 95,4 km
Loppukorkeus: 65,1 km
Alkupiste: 68,287N 19,598E
Loppupiste: 68,451N 19,317E
Suunta: 327,9°
Kallistuskulma: 54,5°
Tulonopeus: 73,0 km/s
Radiantin R,A,: 15:47 (236,8°)
Radiantin Dekl,: 34,9°
Meteoriparvi: Sporadinen
Meteoroidin rataelementit:
Perihelietäisyys: 0,909 AU
Eksentrisyys: 3,040
Inklinaatio: 98,0°
Nousevan solmun pituus: 283,6°
Perihelin argumentti: 154,1°
Keskianomalia: 39,6°
Epookki: 2018 JAN 04 06:06:28
orbit plot

Ei-interaktiivinen kuvaaja | Interaktiivinen kuvaaja

position vs time
speed and acceleration