🇳🇴 🇬🇧 🇩🇪 🇨🇿 🇫🇮

Meteor, poloha: Bruflat 2018-01-05 22:36:25 UTC

Soubor KML  |  InteraktivnĂ­ mapa

Mapa zobrazuje dráhy meteoru. Světlejší čáry ukazují směry od pozorovacích stanic při objevení se meteoru a tmavší čáry, kde byl naposledy viděn. Modrá šipka značí viditelnou dráhu meteoru.

static map
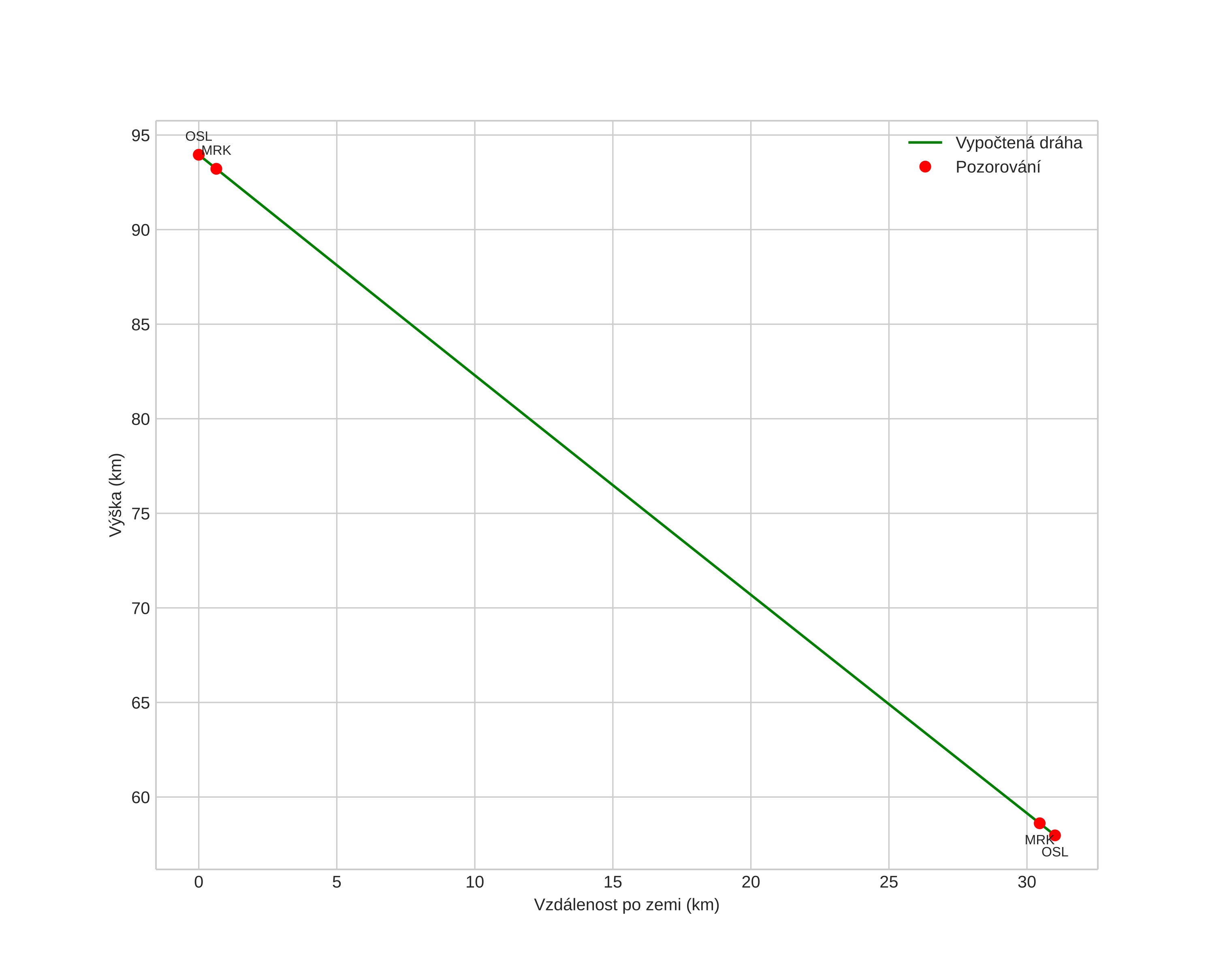
height profile
Atmosférická dráha meteoru:
Počáteční výška: 94,0 km
Konečná výška: 58,0 km
Počáteční poloha: 60,926N 10,039E
Konečná poloha: 61,046N 9,520E
Směr: 295,7°
Sklon: 49,3°
VstupnĂ­ rychlost: 39,6 km/s
Rektascenze radiantu: 09:12 (138,1°)
Deklinace radiantu: 31,0°
MeteorickĂ˝ roj: sporadickĂ˝
Elementy dráhy meteoroidu:
Vzdálenost v periheliu: 0,164 AU
Excentricita: 0,921
Sklon dráhy: 33,1°
Délka vzestupného uzlu: 285,3°
Argument perihelia: 317,5°
Střední anomálie: 348,3°
Epocha: 2018 JAN 05 22:36:25
orbit plot

NeinteraktivnĂ­ graf | InteraktivnĂ­ graf

position vs time
speed and acceleration