🇳🇴 🇬🇧 🇩🇪 🇨🇿 🇫🇮

Meteor Bruflatin yllä 2018-01-05 22:36:25 UTC

KML-tiedosto  |  Interaktiivinen kartta

Kartta näyttää meteorin suuntahavainnot. Vaaleammat viivat näyttävät suunnat havaintoasemilta meteorin ilmestyessä, ja tummemmat viivat näyttävät, missä se viimeksi nähtiin. Sininen nuoli näyttää meteorin näkyvän lennon.

static map
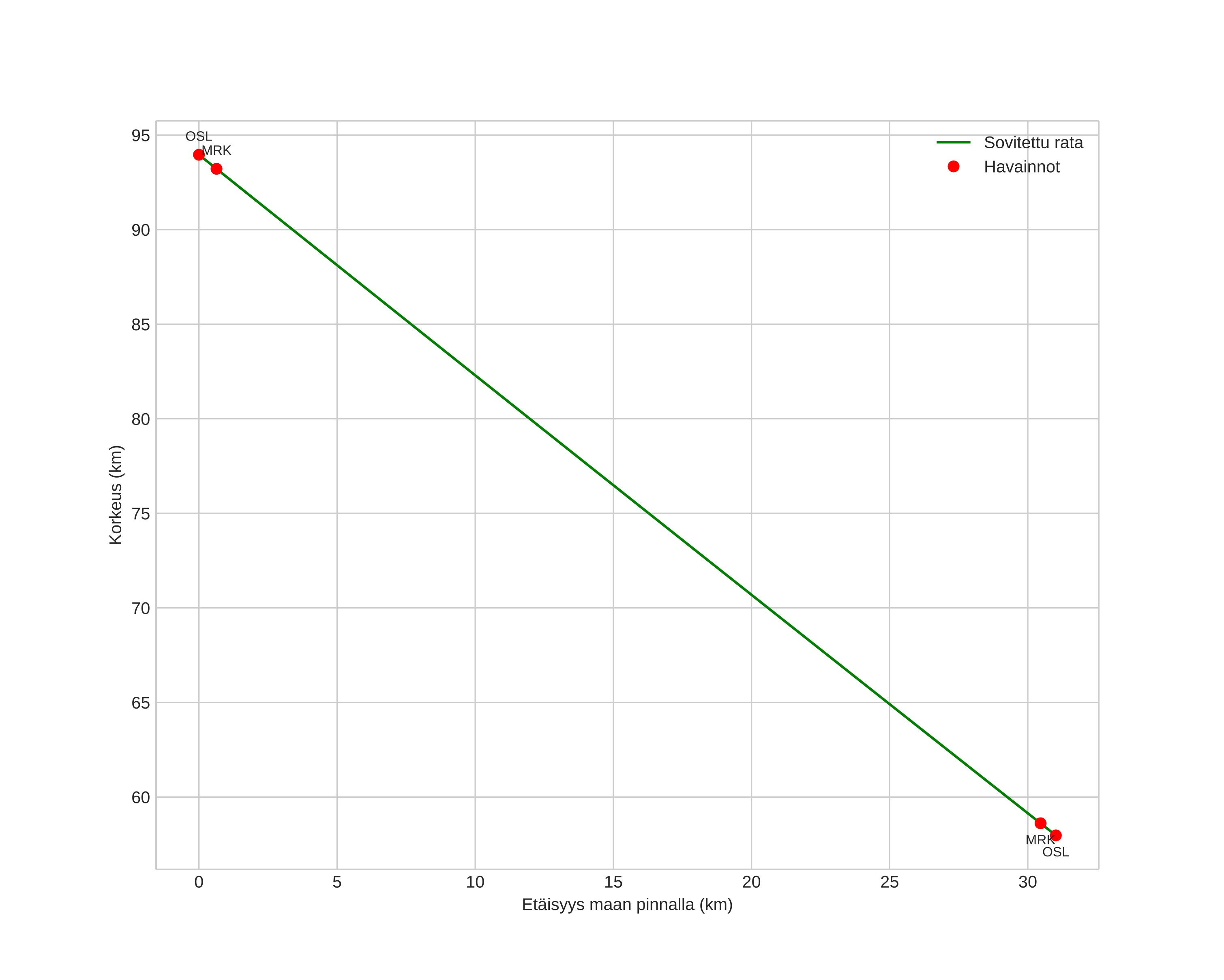
height profile
Meteorin ilmakehärata:
Alkukorkeus: 94,0 km
Loppukorkeus: 58,0 km
Alkupiste: 60,926N 10,039E
Loppupiste: 61,046N 9,520E
Suunta: 295,7°
Kallistuskulma: 49,3°
Tulonopeus: 39,6 km/s
Radiantin R,A,: 09:12 (138,1°)
Radiantin Dekl,: 31,0°
Meteoriparvi: Sporadinen
Meteoroidin rataelementit:
Perihelietäisyys: 0,164 AU
Eksentrisyys: 0,921
Inklinaatio: 33,1°
Nousevan solmun pituus: 285,3°
Perihelin argumentti: 317,5°
Keskianomalia: 348,3°
Epookki: 2018 JAN 05 22:36:25
orbit plot

Ei-interaktiivinen kuvaaja | Interaktiivinen kuvaaja

position vs time
speed and acceleration