🇳🇴 🇬🇧 🇩🇪 🇨🇿 🇫🇮

Meteor, poloha: Noresund 2018-01-07 22:34:48 UTC

Soubor KML  |  InteraktivnĂ­ mapa

Mapa zobrazuje dráhy meteoru. Světlejší čáry ukazují směry od pozorovacích stanic při objevení se meteoru a tmavší čáry, kde byl naposledy viděn. Modrá šipka značí viditelnou dráhu meteoru.

static map
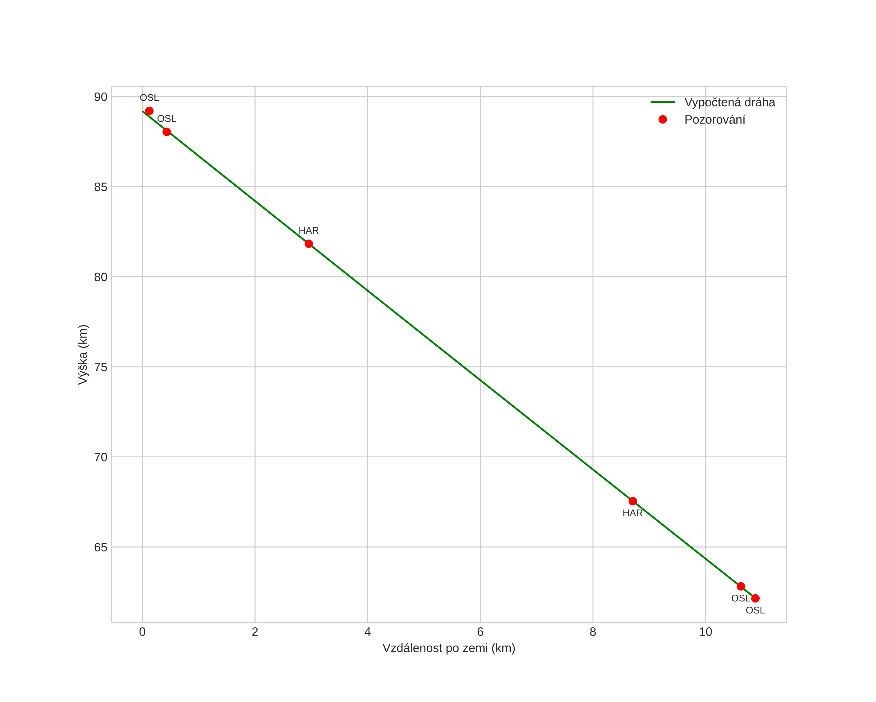
height profile
Atmosférická dráha meteoru:
Počáteční výška: 89,2 km
Konečná výška: 62,1 km
Počáteční poloha: 60,196N 9,792E
Konečná poloha: 60,278N 9,684E
Směr: 326,9°
Sklon: 68,1°
VstupnĂ­ rychlost: 26,7 km/s
Rektascenze radiantu: 07:23 (110,9°)
Deklinace radiantu: 39,5°
MeteorickĂ˝ roj: sporadickĂ˝
Elementy dráhy meteoroidu:
Vzdálenost v periheliu: 0,593 AU
Excentricita: 0,809
Sklon dráhy: 13,3°
Délka vzestupného uzlu: 287,3°
Argument perihelia: 263,6°
Střední anomálie: 352,5°
Epocha: 2018 JAN 07 22:34:48
orbit plot

NeinteraktivnĂ­ graf | InteraktivnĂ­ graf

position vs time
speed and acceleration