🇳🇴 🇬🇧 🇩🇪 🇨🇿 🇫🇮

Meteor Noresundin yllä 2018-01-07 22:34:48 UTC

KML-tiedosto  |  Interaktiivinen kartta

Kartta näyttää meteorin suuntahavainnot. Vaaleammat viivat näyttävät suunnat havaintoasemilta meteorin ilmestyessä, ja tummemmat viivat näyttävät, missä se viimeksi nähtiin. Sininen nuoli näyttää meteorin näkyvän lennon.

static map
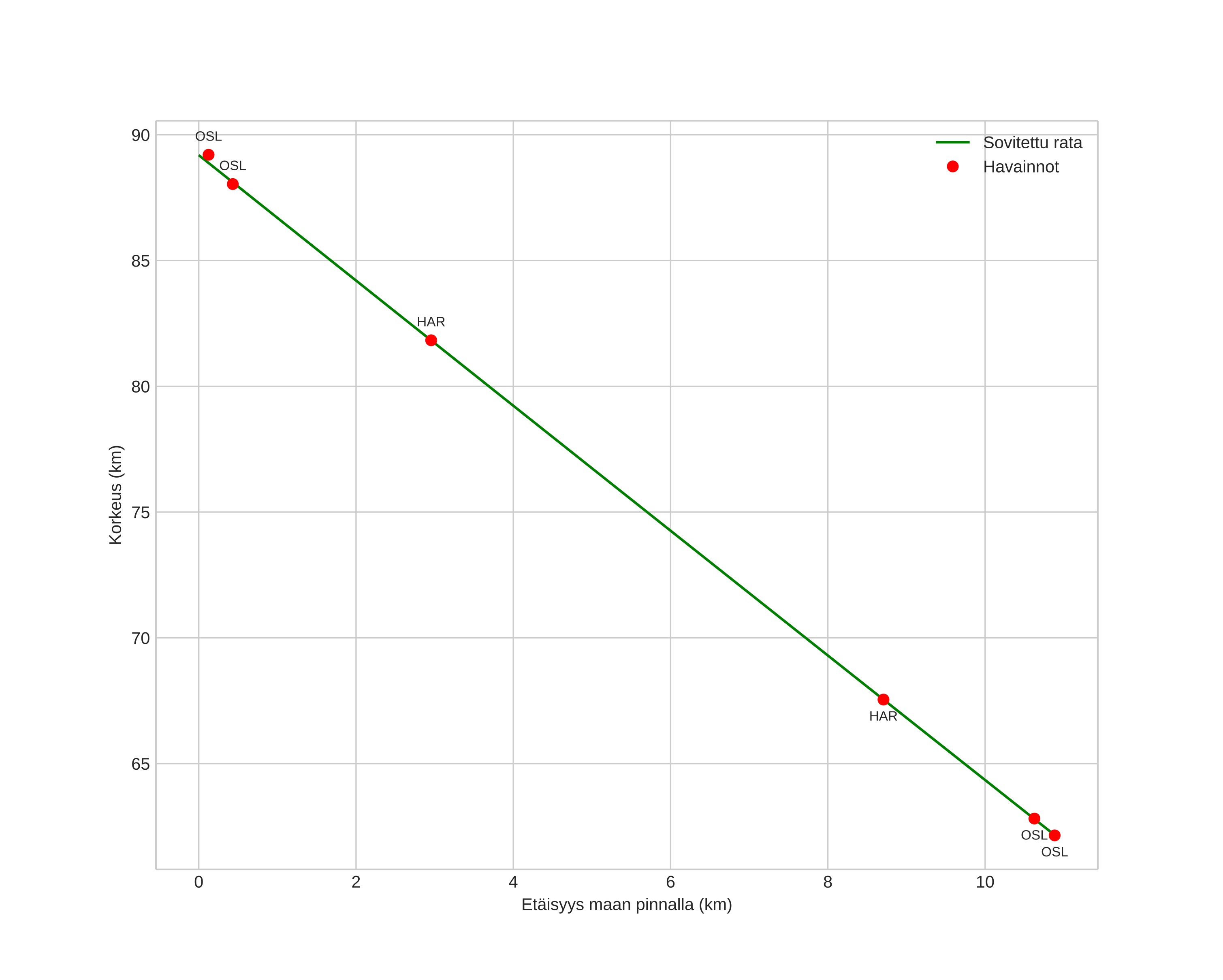
height profile
Meteorin ilmakehärata:
Alkukorkeus: 89,2 km
Loppukorkeus: 62,1 km
Alkupiste: 60,196N 9,792E
Loppupiste: 60,278N 9,684E
Suunta: 326,9°
Kallistuskulma: 68,1°
Tulonopeus: 26,7 km/s
Radiantin R,A,: 07:23 (110,9°)
Radiantin Dekl,: 39,5°
Meteoriparvi: Sporadinen
Meteoroidin rataelementit:
Perihelietäisyys: 0,593 AU
Eksentrisyys: 0,809
Inklinaatio: 13,3°
Nousevan solmun pituus: 287,3°
Perihelin argumentti: 263,6°
Keskianomalia: 352,5°
Epookki: 2018 JAN 07 22:34:48
orbit plot

Ei-interaktiivinen kuvaaja | Interaktiivinen kuvaaja

position vs time
speed and acceleration