🇳🇴 🇬🇧 🇩🇪 🇨🇿 🇫🇮

Meteor, poloha: Karlskoga 2018-01-08 20:01:43 UTC

Soubor KML  |  InteraktivnĂ­ mapa

Mapa zobrazuje dráhy meteoru. Světlejší čáry ukazují směry od pozorovacích stanic při objevení se meteoru a tmavší čáry, kde byl naposledy viděn. Modrá šipka značí viditelnou dráhu meteoru.

static map
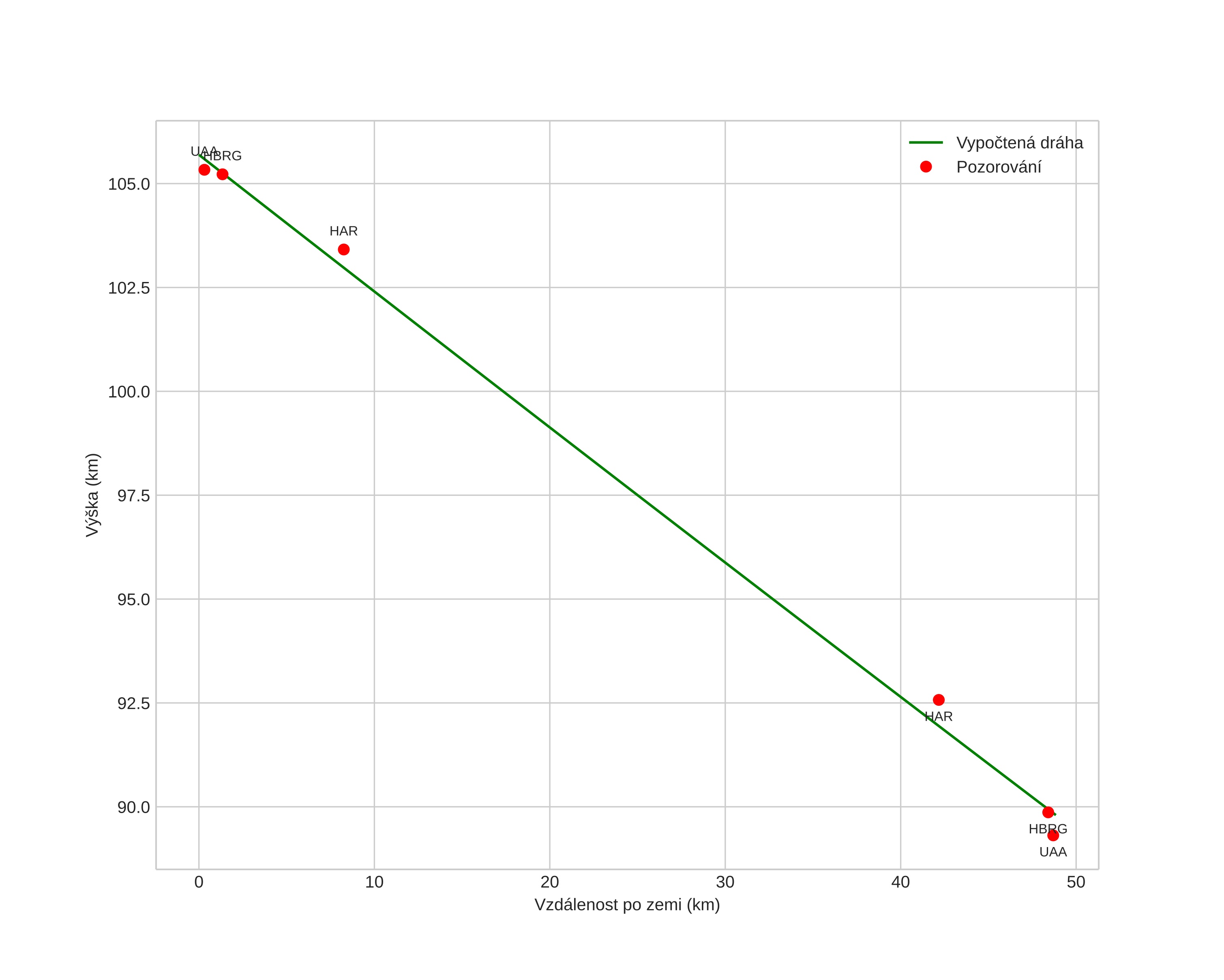
height profile
Atmosférická dráha meteoru:
Počáteční výška: 105,7 km
Konečná výška: 89,8 km
Počáteční poloha: 59,968N 14,752E
Konečná poloha: 59,536N 14,593E
Směr: 190,5°
Sklon: 18,0°
VstupnĂ­ rychlost: 47,3 km/s
Rektascenze radiantu: 15:16 (229,0°)
Deklinace radiantu: 46,3°
MeteorickĂ˝ roj: Kvadrantidy
Elementy dráhy meteoroidu:
Vzdálenost v periheliu: 0,981 AU
Excentricita: 0,845
Sklon dráhy: 79,0°
Délka vzestupného uzlu: 288,2°
Argument perihelia: 174,3°
Střední anomálie: 0,3°
Epocha: 2018 JAN 08 20:01:43
orbit plot

NeinteraktivnĂ­ graf | InteraktivnĂ­ graf

position vs time
speed and acceleration