🇳🇴 🇬🇧 🇩🇪 🇨🇿 🇫🇮

Meteor Karlskogan yllä 2018-01-08 20:01:43 UTC

KML-tiedosto  |  Interaktiivinen kartta

Kartta näyttää meteorin suuntahavainnot. Vaaleammat viivat näyttävät suunnat havaintoasemilta meteorin ilmestyessä, ja tummemmat viivat näyttävät, missä se viimeksi nähtiin. Sininen nuoli näyttää meteorin näkyvän lennon.

static map
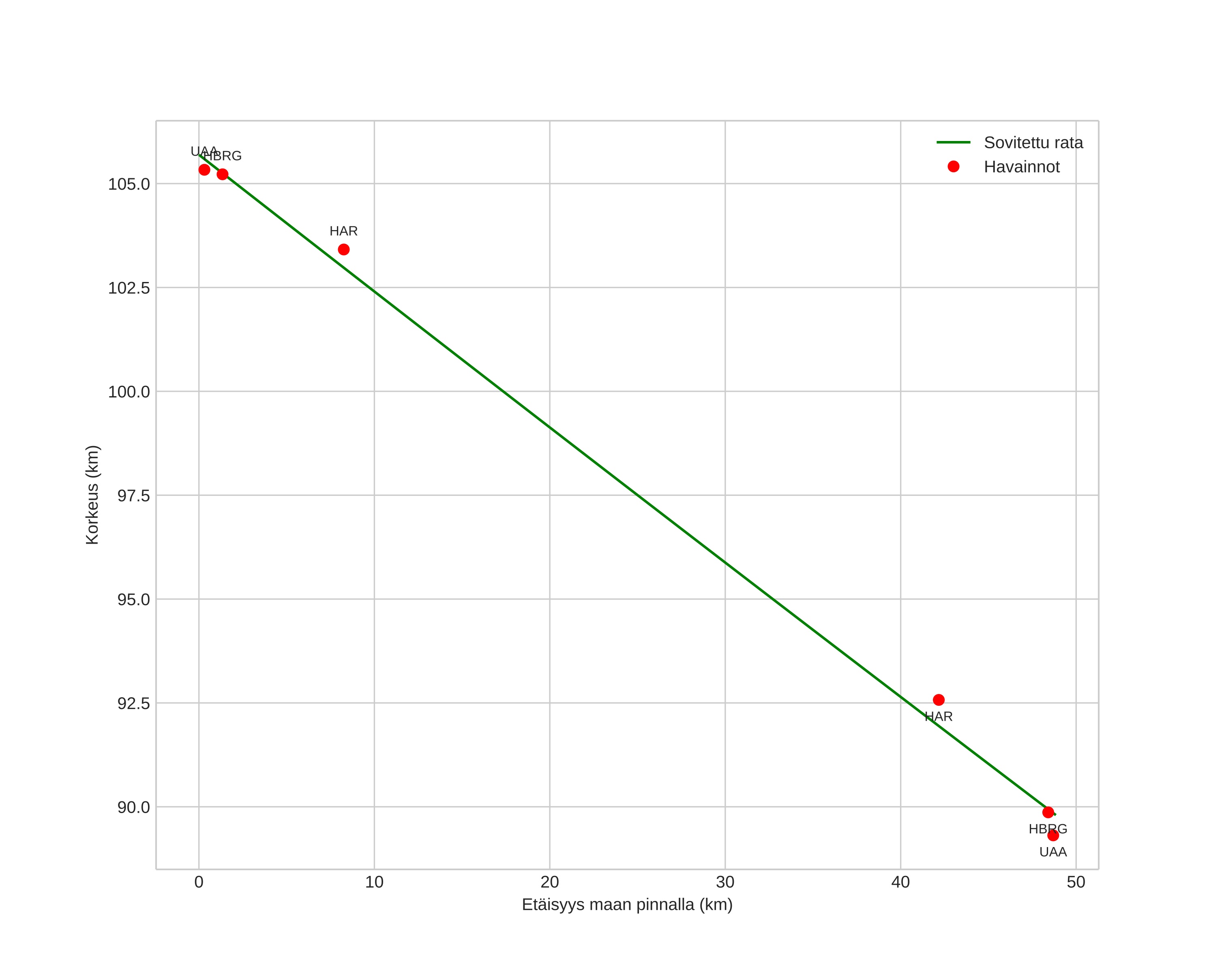
height profile
Meteorin ilmakehärata:
Alkukorkeus: 105,7 km
Loppukorkeus: 89,8 km
Alkupiste: 59,968N 14,752E
Loppupiste: 59,536N 14,593E
Suunta: 190,5°
Kallistuskulma: 18,0°
Tulonopeus: 47,3 km/s
Radiantin R,A,: 15:16 (229,0°)
Radiantin Dekl,: 46,3°
Meteoriparvi: Kvadrantidit
Meteoroidin rataelementit:
Perihelietäisyys: 0,981 AU
Eksentrisyys: 0,845
Inklinaatio: 79,0°
Nousevan solmun pituus: 288,2°
Perihelin argumentti: 174,3°
Keskianomalia: 0,3°
Epookki: 2018 JAN 08 20:01:43
orbit plot

Ei-interaktiivinen kuvaaja | Interaktiivinen kuvaaja

position vs time
speed and acceleration