🇳🇴 🇬🇧 🇩🇪 🇨🇿 🇫🇮

Meteor, poloha: Årjäng 2018-01-09 02:43:16 UTC

Soubor KML  |  InteraktivnĂ­ mapa

Mapa zobrazuje dráhy meteoru. Světlejší čáry ukazují směry od pozorovacích stanic při objevení se meteoru a tmavší čáry, kde byl naposledy viděn. Modrá šipka značí viditelnou dráhu meteoru.

static map
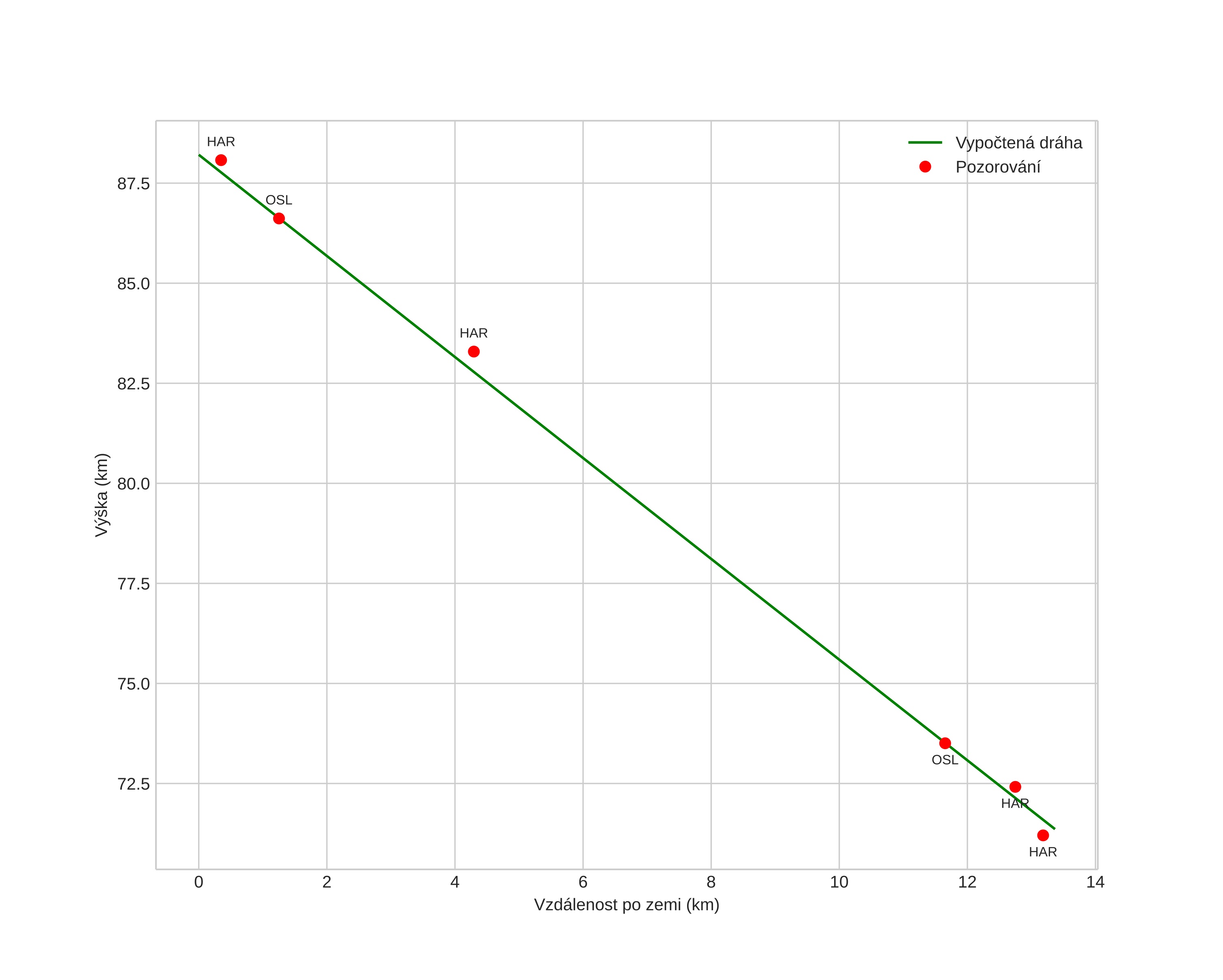
height profile
Atmosférická dráha meteoru:
Počáteční výška: 88,2 km
Konečná výška: 71,4 km
Počáteční poloha: 59,407N 11,732E
Konečná poloha: 59,382N 11,963E
Směr: 102,1°
Sklon: 51,5°
VstupnĂ­ rychlost: 19,9 km/s
Rektascenze radiantu: 06:06 (91,7°)
Deklinace radiantu: 44,6°
MeteorickĂ˝ roj: sporadickĂ˝
Elementy dráhy meteoroidu:
Vzdálenost v periheliu: 0,804 AU
Excentricita: 0,698
Sklon dráhy: 9,8°
Délka vzestupného uzlu: 288,5°
Argument perihelia: 236,2°
Střední anomálie: 351,8°
Epocha: 2018 JAN 09 02:43:16
orbit plot

NeinteraktivnĂ­ graf | InteraktivnĂ­ graf

position vs time
speed and acceleration