🇳🇴 🇬🇧 🇩🇪 🇨🇿 🇫🇮

Meteor Årjängin yllä 2018-01-09 02:43:16 UTC

KML-tiedosto  |  Interaktiivinen kartta

Kartta näyttää meteorin suuntahavainnot. Vaaleammat viivat näyttävät suunnat havaintoasemilta meteorin ilmestyessä, ja tummemmat viivat näyttävät, missä se viimeksi nähtiin. Sininen nuoli näyttää meteorin näkyvän lennon.

static map
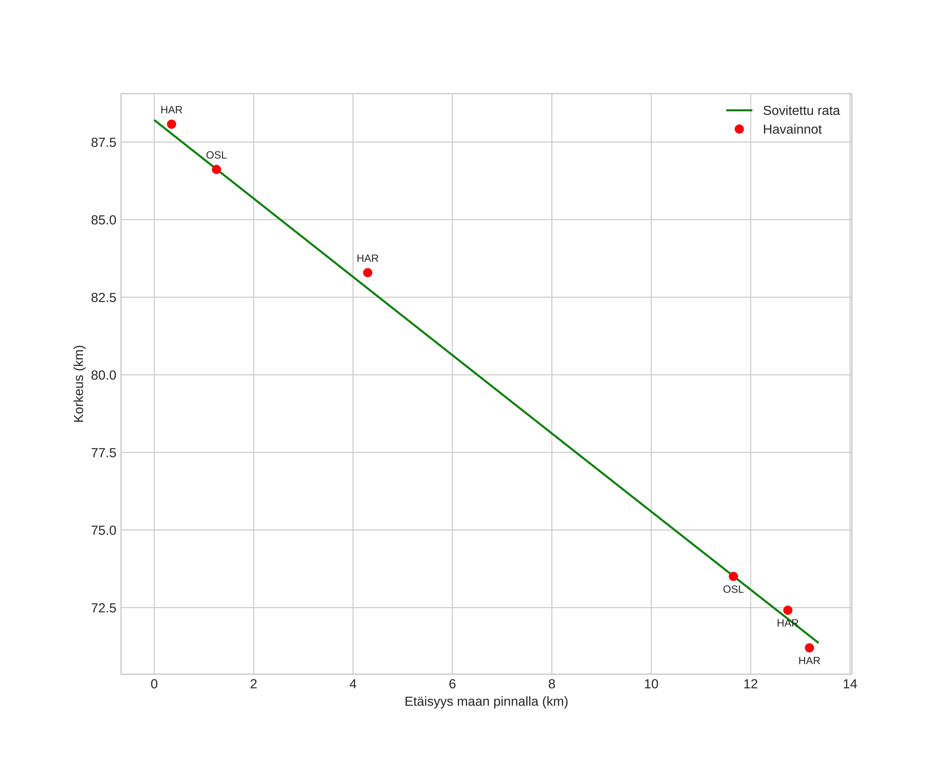
height profile
Meteorin ilmakehärata:
Alkukorkeus: 88,2 km
Loppukorkeus: 71,4 km
Alkupiste: 59,407N 11,732E
Loppupiste: 59,382N 11,963E
Suunta: 102,1°
Kallistuskulma: 51,5°
Tulonopeus: 19,9 km/s
Radiantin R,A,: 06:06 (91,7°)
Radiantin Dekl,: 44,6°
Meteoriparvi: Sporadinen
Meteoroidin rataelementit:
Perihelietäisyys: 0,804 AU
Eksentrisyys: 0,698
Inklinaatio: 9,8°
Nousevan solmun pituus: 288,5°
Perihelin argumentti: 236,2°
Keskianomalia: 351,8°
Epookki: 2018 JAN 09 02:43:16
orbit plot

Ei-interaktiivinen kuvaaja | Interaktiivinen kuvaaja

position vs time
speed and acceleration