🇳🇴 🇬🇧 🇩🇪 🇨🇿 🇫🇮

Meteor, poloha: Evenskjer 2018-01-12 18:53:08 UTC

Soubor KML  |  InteraktivnĂ­ mapa

Mapa zobrazuje dráhy meteoru. Světlejší čáry ukazují směry od pozorovacích stanic při objevení se meteoru a tmavší čáry, kde byl naposledy viděn. Modrá šipka značí viditelnou dráhu meteoru.

static map
height profile
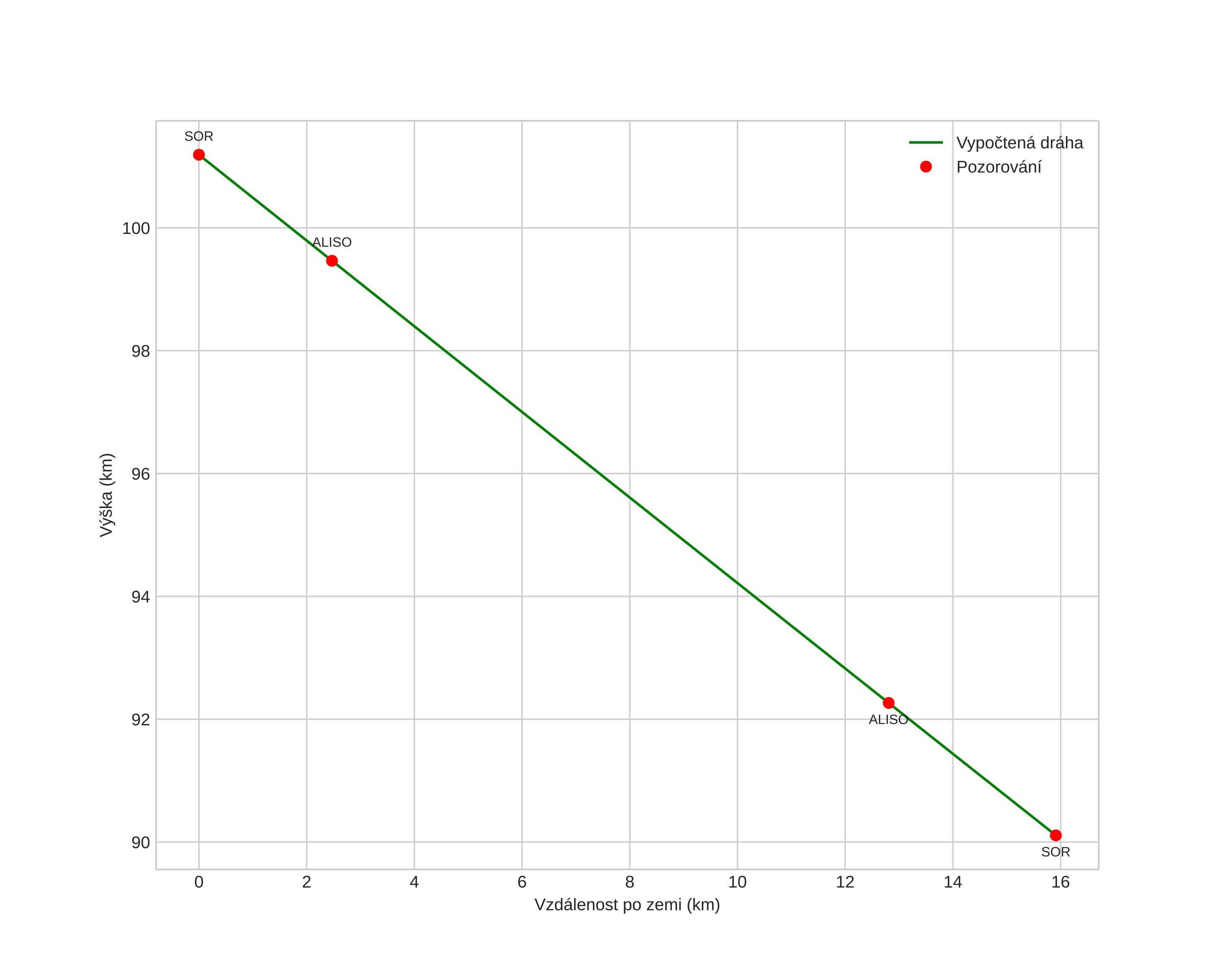
Atmosférická dráha meteoru:
Počáteční výška: 101,2 km
Konečná výška: 90,1 km
Počáteční poloha: 68,635N 16,945E
Konečná poloha: 68,536N 16,663E
Směr: 226,0°
Sklon: 34,9°
VstupnĂ­ rychlost: 47,2 km/s
Rektascenze radiantu: 11:25 (171,3°)
Deklinace radiantu: 47,2°
MeteorickĂ˝ roj: sporadickĂ˝
Elementy dráhy meteoroidu:
Vzdálenost v periheliu: 0,513 AU
Excentricita: 0,933
Sklon dráhy: 73,5°
Délka vzestupného uzlu: 292,3°
Argument perihelia: 269,5°
Střední anomálie: 358,2°
Epocha: 2018 JAN 12 18:53:08
orbit plot

NeinteraktivnĂ­ graf | InteraktivnĂ­ graf

position vs time
speed and acceleration