🇳🇴 🇬🇧 🇩🇪 🇨🇿 🇫🇮

Meteor Evenskjerin yllä 2018-01-12 18:53:08 UTC

KML-tiedosto  |  Interaktiivinen kartta

Kartta näyttää meteorin suuntahavainnot. Vaaleammat viivat näyttävät suunnat havaintoasemilta meteorin ilmestyessä, ja tummemmat viivat näyttävät, missä se viimeksi nähtiin. Sininen nuoli näyttää meteorin näkyvän lennon.

static map
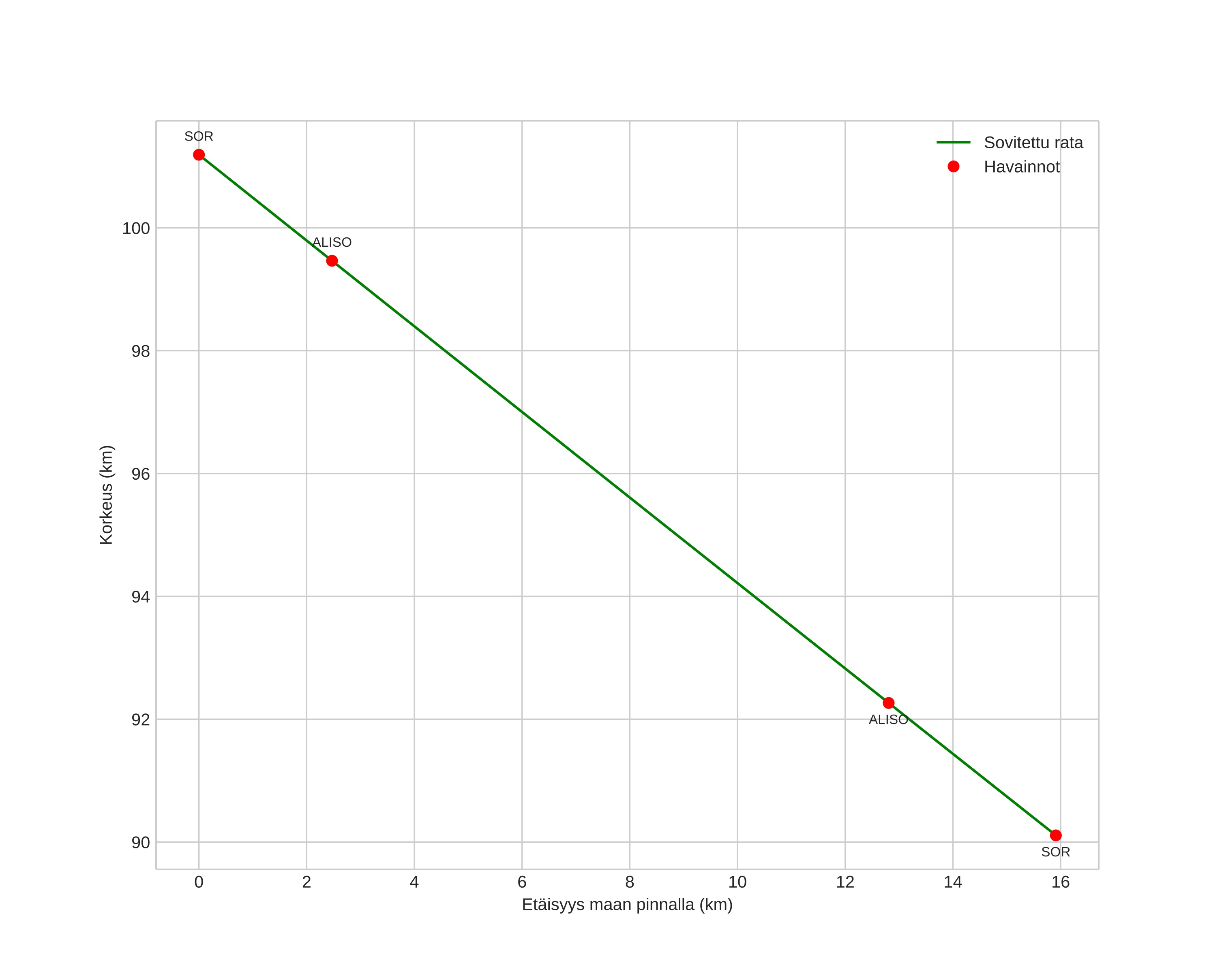
height profile
Meteorin ilmakehärata:
Alkukorkeus: 101,2 km
Loppukorkeus: 90,1 km
Alkupiste: 68,635N 16,945E
Loppupiste: 68,536N 16,663E
Suunta: 226,0°
Kallistuskulma: 34,9°
Tulonopeus: 47,2 km/s
Radiantin R,A,: 11:25 (171,3°)
Radiantin Dekl,: 47,2°
Meteoriparvi: Sporadinen
Meteoroidin rataelementit:
Perihelietäisyys: 0,513 AU
Eksentrisyys: 0,933
Inklinaatio: 73,5°
Nousevan solmun pituus: 292,3°
Perihelin argumentti: 269,5°
Keskianomalia: 358,2°
Epookki: 2018 JAN 12 18:53:08
orbit plot

Ei-interaktiivinen kuvaaja | Interaktiivinen kuvaaja

position vs time
speed and acceleration