🇳🇴 🇬🇧 🇩🇪 🇨🇿 🇫🇮

Meteor, poloha: Bogen 2018-01-20 06:43:04 UTC

Soubor KML  |  InteraktivnĂ­ mapa

Mapa zobrazuje dráhy meteoru. Světlejší čáry ukazují směry od pozorovacích stanic při objevení se meteoru a tmavší čáry, kde byl naposledy viděn. Modrá šipka značí viditelnou dráhu meteoru.

static map
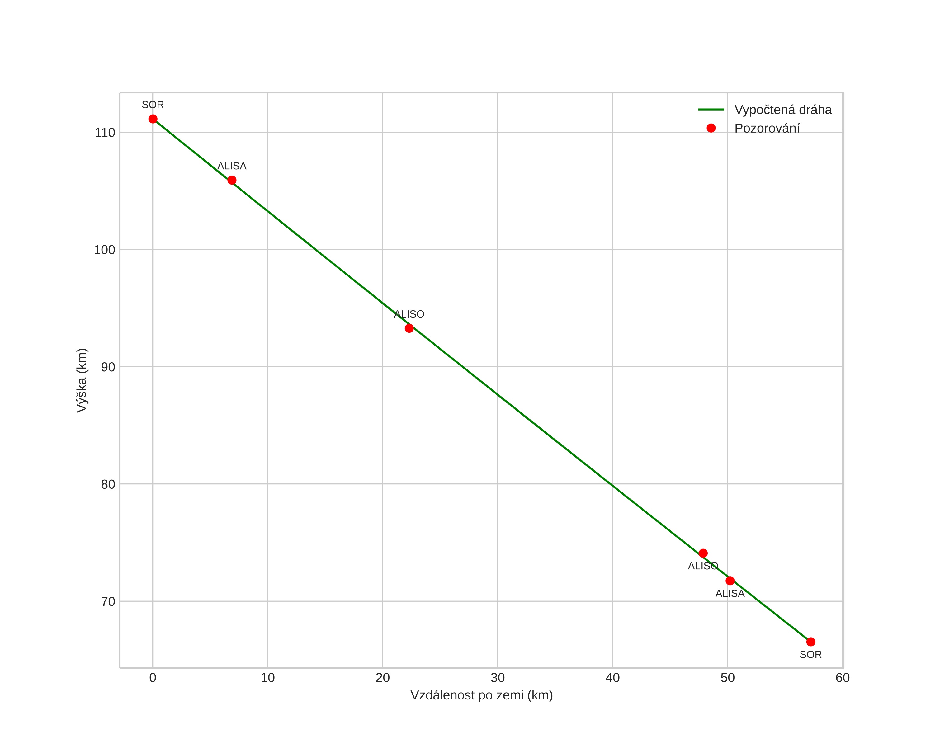
height profile
Atmosférická dráha meteoru:
Počáteční výška: 111,1 km
Konečná výška: 66,5 km
Počáteční poloha: 67,247N 16,725E
Konečná poloha: 67,747N 17,037E
Směr: 13,3°
Sklon: 37,9°
VstupnĂ­ rychlost: 75,0 km/s
Rektascenze radiantu: 15:03 (225,8°)
Deklinace radiantu: 15,4°
MeteorickĂ˝ roj: sporadickĂ˝
Elementy dráhy meteoroidu:
Vzdálenost v periheliu: 0,959 AU
Excentricita: 1,891
Sklon dráhy: 130,2°
Délka vzestupného uzlu: 299,9°
Argument perihelia: 164,0°
Střední anomálie: 8,1°
Epocha: 2018 JAN 20 06:43:04
orbit plot

NeinteraktivnĂ­ graf | InteraktivnĂ­ graf

position vs time
speed and acceleration