🇳🇴 🇬🇧 🇩🇪 🇨🇿 🇫🇮

Meteor Bogenin yllä 2018-01-20 06:43:04 UTC

KML-tiedosto  |  Interaktiivinen kartta

Kartta näyttää meteorin suuntahavainnot. Vaaleammat viivat näyttävät suunnat havaintoasemilta meteorin ilmestyessä, ja tummemmat viivat näyttävät, missä se viimeksi nähtiin. Sininen nuoli näyttää meteorin näkyvän lennon.

static map
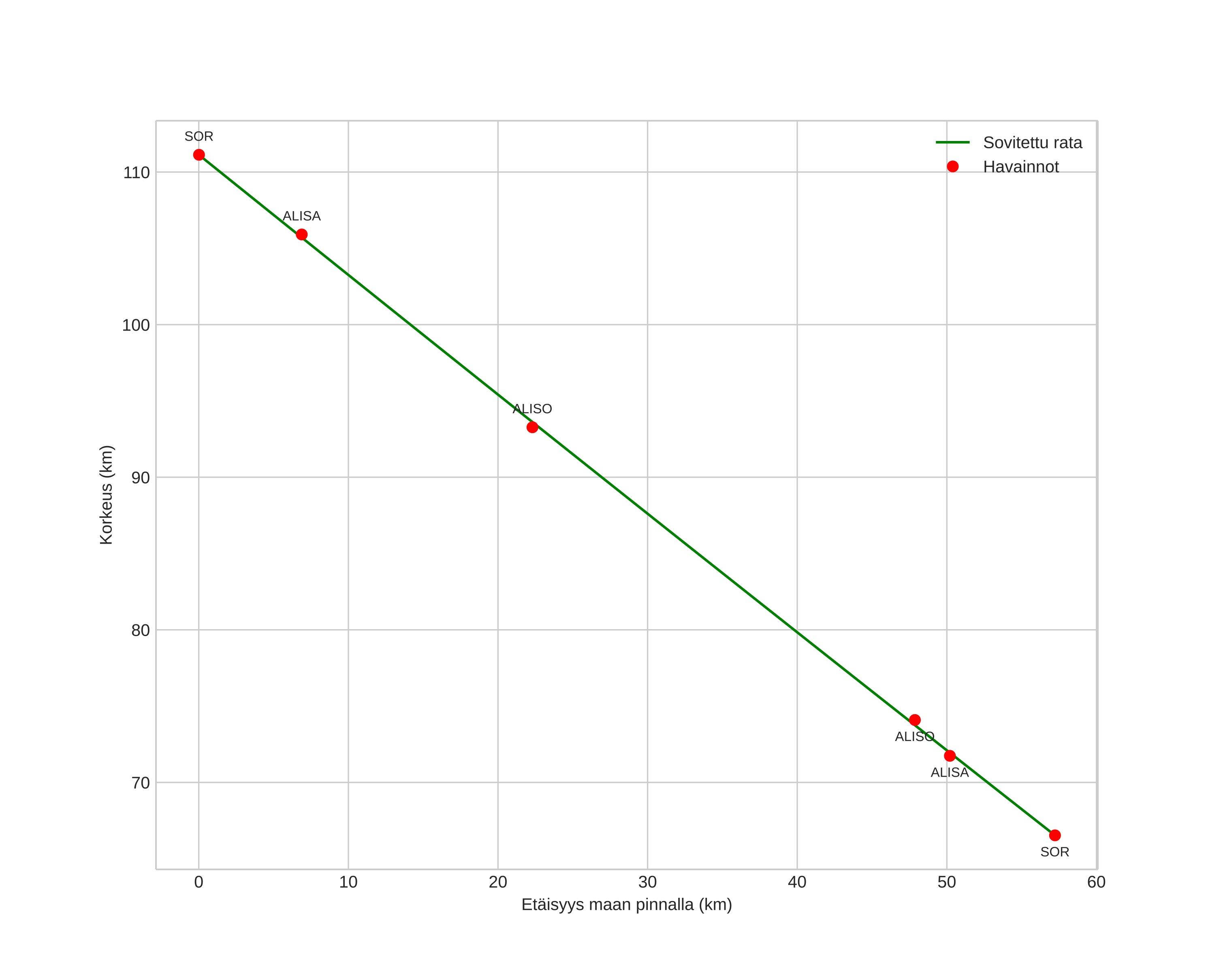
height profile
Meteorin ilmakehärata:
Alkukorkeus: 111,1 km
Loppukorkeus: 66,5 km
Alkupiste: 67,247N 16,725E
Loppupiste: 67,747N 17,037E
Suunta: 13,3°
Kallistuskulma: 37,9°
Tulonopeus: 75,0 km/s
Radiantin R,A,: 15:03 (225,8°)
Radiantin Dekl,: 15,4°
Meteoriparvi: Sporadinen
Meteoroidin rataelementit:
Perihelietäisyys: 0,959 AU
Eksentrisyys: 1,891
Inklinaatio: 130,2°
Nousevan solmun pituus: 299,9°
Perihelin argumentti: 164,0°
Keskianomalia: 8,1°
Epookki: 2018 JAN 20 06:43:04
orbit plot

Ei-interaktiivinen kuvaaja | Interaktiivinen kuvaaja

position vs time
speed and acceleration