🇳🇴 🇬🇧 🇩🇪 🇨🇿 🇫🇮

Meteor over Arvidsjaur 2018-01-22 21:29:53 UTC

KML-fil  |  Interaktivt kart

Kartet viser peilingene for meteoren. De lysere linjene viser retningene fra observasjonsstedene for meteorens tilsynekomst, og de mørkere linjene viser hvor den sist kunne sees. Den blå pila viser meteorens synlige ferd.

static map
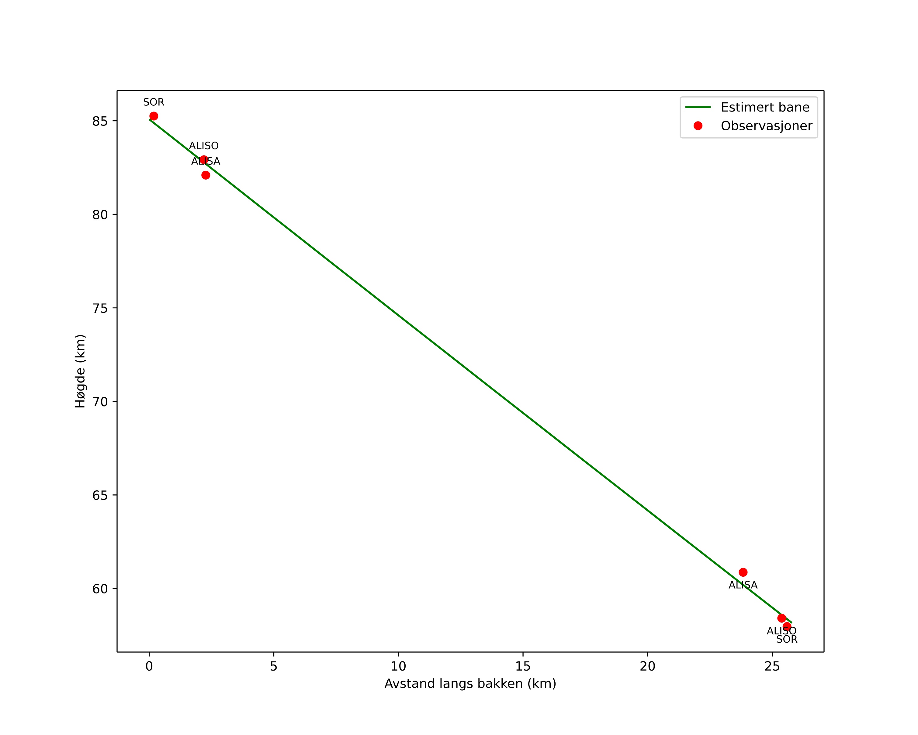
height profile
Meteorens atmosfæriske bane:
Starthøgde: 85,1 km
Slutthøgde: 58,2 km
Startposisjon: 65,463N 19,410E
Sluttposisjon: 65,558N 18,900E
Retning: 294,5°
Fallvinkel: 46,2°
Inngangshastighet: 40,4 km/s
Radiantens rektascensjon: 10:08 (152,2°)
Radiantens deklinasjon: 31,8°
Meteorsverm: sporadisk
Meteoroidens baneelement:
Perihelavstand: 0,264 AU
Eksentrisitet: 0,953
Inklinasjon: 35,5°
Knutelengde: 302,6°
Perihelargument: 300,0°
Midlere anomali: 357,3°
Epoke: 2018 JAN 22 21:29:53
orbit plot

Ikke-interaktivt plott | Interaktivt plott

position vs time
speed and acceleration

Sorreisa (SOR) cam1


gnomonic
Videoer
• Gnomonisk
• Gnomonisk med koordinater
• Original
• Original med koordinater
Bilder
• Gnomonisk
• Gnomonisk med koordinater
• Ukorrigert gnomonisk med koordinater
• Gnomonisk med annotering
• Ukorrigert gnomonisk med annotering
• Original
• Original med koordinater
• Original med maske
Tekstfiler
• Deteksjon
• Observasjon
• Koordinater
• Feilmeldinger
• Logg
Lysstyrke