🇳🇴 🇬🇧 🇩🇪 🇨🇿 🇫🇮

Meteor Arvidsjaurin yllä 2018-01-22 21:29:53 UTC

KML-tiedosto  |  Interaktiivinen kartta

Kartta näyttää meteorin suuntahavainnot. Vaaleammat viivat näyttävät suunnat havaintoasemilta meteorin ilmestyessä, ja tummemmat viivat näyttävät, missä se viimeksi nähtiin. Sininen nuoli näyttää meteorin näkyvän lennon.

static map
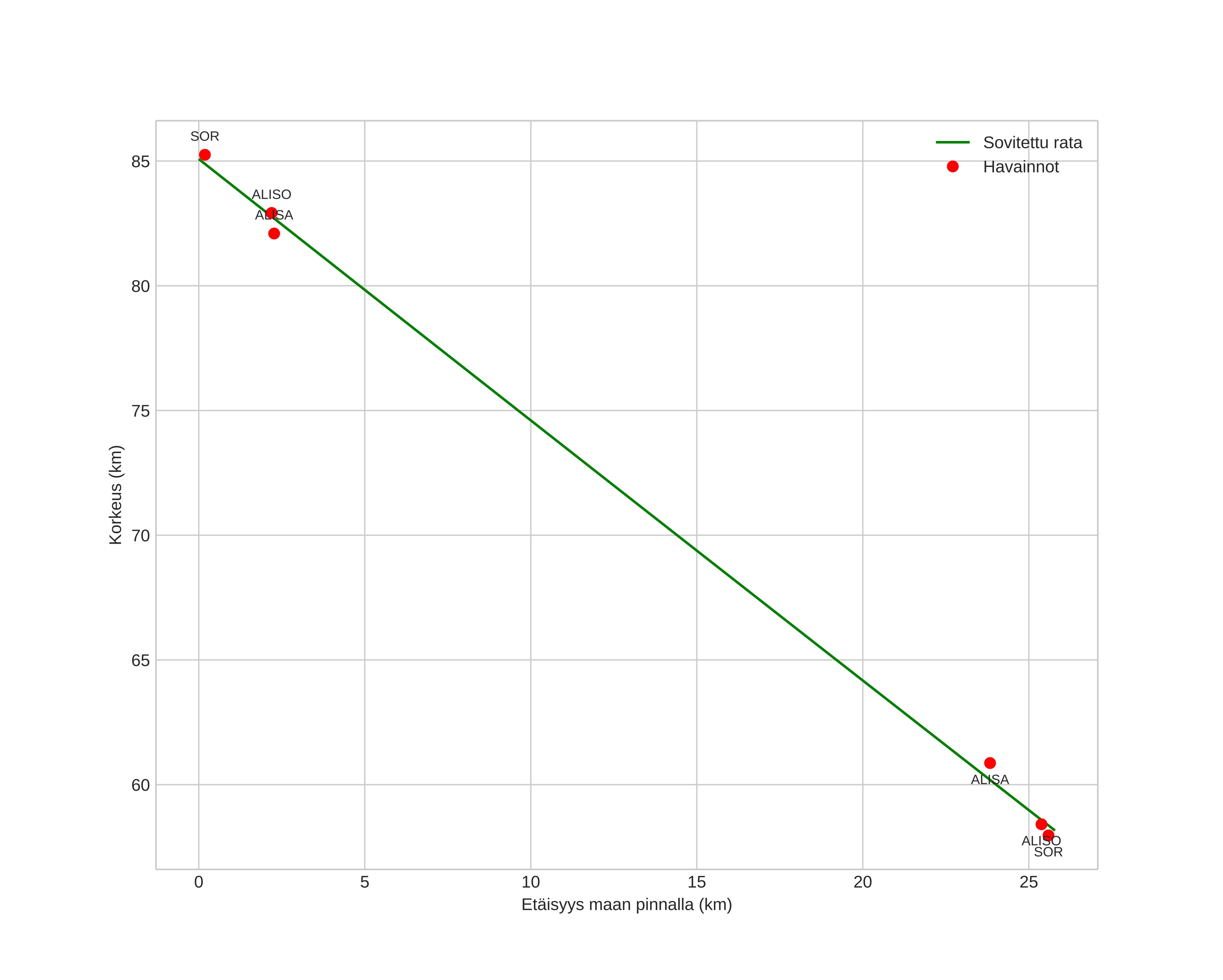
height profile
Meteorin ilmakehärata:
Alkukorkeus: 85,1 km
Loppukorkeus: 58,2 km
Alkupiste: 65,463N 19,410E
Loppupiste: 65,558N 18,900E
Suunta: 294,5°
Kallistuskulma: 46,2°
Tulonopeus: 40,4 km/s
Radiantin R,A,: 10:08 (152,2°)
Radiantin Dekl,: 31,8°
Meteoriparvi: Sporadinen
Meteoroidin rataelementit:
Perihelietäisyys: 0,264 AU
Eksentrisyys: 0,953
Inklinaatio: 35,5°
Nousevan solmun pituus: 302,6°
Perihelin argumentti: 300,0°
Keskianomalia: 357,3°
Epookki: 2018 JAN 22 21:29:53
orbit plot

Ei-interaktiivinen kuvaaja | Interaktiivinen kuvaaja

position vs time
speed and acceleration