🇳🇴 🇬🇧 🇩🇪 🇨🇿 🇫🇮

Meteor, poloha: Arvidsjaur 2018-01-22 21:29:53 UTC

Soubor KML  |  InteraktivnĂ­ mapa

Mapa zobrazuje dráhy meteoru. Světlejší čáry ukazují směry od pozorovacích stanic při objevení se meteoru a tmavší čáry, kde byl naposledy viděn. Modrá šipka značí viditelnou dráhu meteoru.

static map
height profile
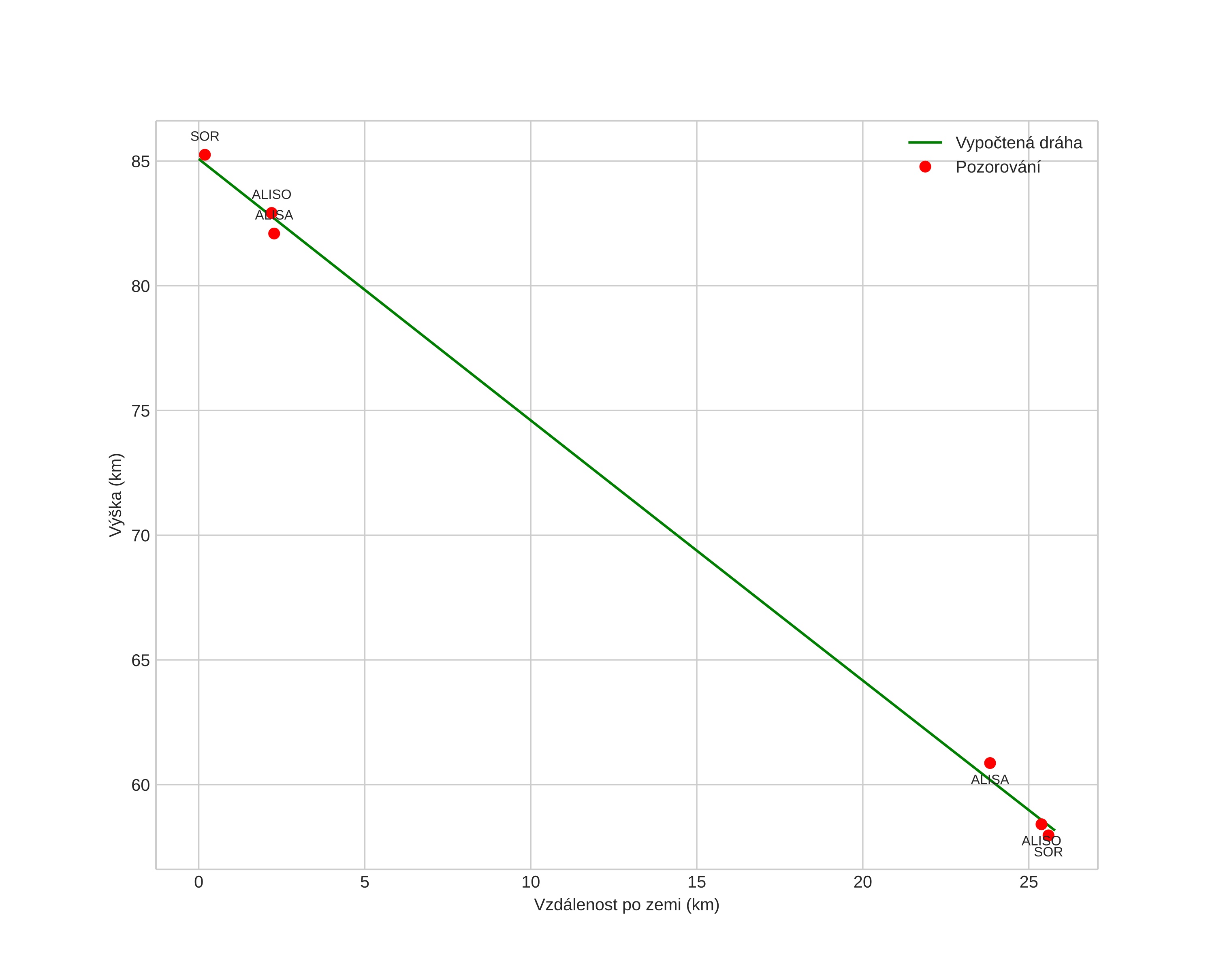
Atmosférická dráha meteoru:
Počáteční výška: 85,1 km
Konečná výška: 58,2 km
Počáteční poloha: 65,463N 19,410E
Konečná poloha: 65,558N 18,900E
Směr: 294,5°
Sklon: 46,2°
VstupnĂ­ rychlost: 40,4 km/s
Rektascenze radiantu: 10:08 (152,2°)
Deklinace radiantu: 31,8°
MeteorickĂ˝ roj: sporadickĂ˝
Elementy dráhy meteoroidu:
Vzdálenost v periheliu: 0,264 AU
Excentricita: 0,953
Sklon dráhy: 35,5°
Délka vzestupného uzlu: 302,6°
Argument perihelia: 300,0°
Střední anomálie: 357,3°
Epocha: 2018 JAN 22 21:29:53
orbit plot

NeinteraktivnĂ­ graf | InteraktivnĂ­ graf

position vs time
speed and acceleration