🇳🇴 🇬🇧 🇩🇪 🇨🇿 🇫🇮

Meteor, poloha: Skien 2018-01-25 04:29:32 UTC

Soubor KML  |  InteraktivnĂ­ mapa

Mapa zobrazuje dráhy meteoru. Světlejší čáry ukazují směry od pozorovacích stanic při objevení se meteoru a tmavší čáry, kde byl naposledy viděn. Modrá šipka značí viditelnou dráhu meteoru.

static map
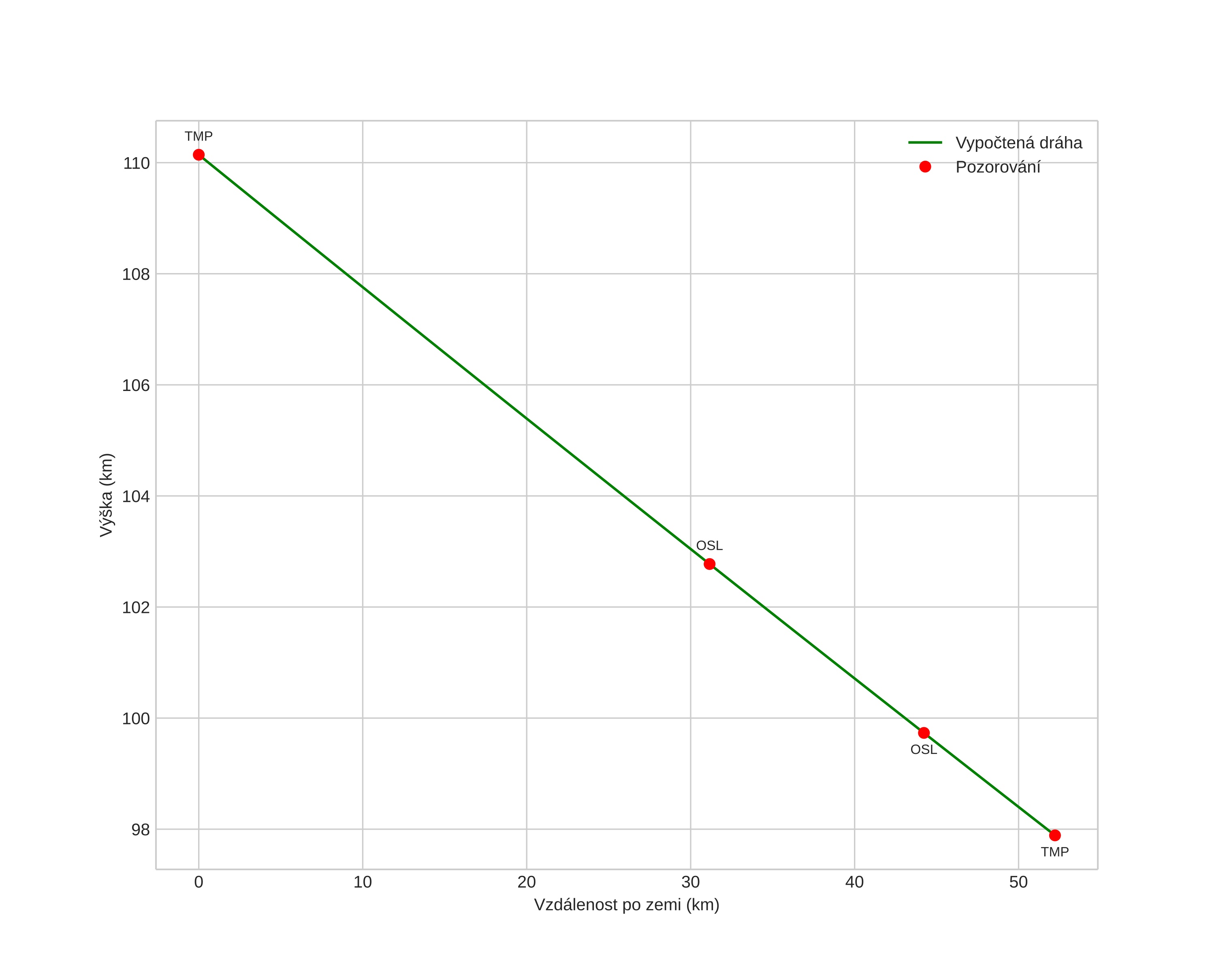
height profile
Atmosférická dráha meteoru:
Počáteční výška: 110,1 km
Konečná výška: 97,9 km
Počáteční poloha: 59,079N 10,336E
Konečná poloha: 59,322N 9,551E
Směr: 301,6°
Sklon: 13,1°
VstupnĂ­ rychlost: 59,1 km/s
Rektascenze radiantu: 17:13 (258,3°)
Deklinace radiantu: -4,6°
MeteorickĂ˝ roj: sporadickĂ˝
Elementy dráhy meteoroidu:
Vzdálenost v periheliu: 0,235 AU
Excentricita: 1,010
Sklon dráhy: 118,8°
Délka vzestupného uzlu: 304,9°
Argument perihelia: 59,0°
Střední anomálie: 0,3°
Epocha: 2018 JAN 25 04:29:32
orbit plot

NeinteraktivnĂ­ graf | InteraktivnĂ­ graf

position vs time
speed and acceleration