🇳🇴 🇬🇧 🇩🇪 🇨🇿 🇫🇮

Meteor Skienin yllä 2018-01-25 04:29:32 UTC

KML-tiedosto  |  Interaktiivinen kartta

Kartta näyttää meteorin suuntahavainnot. Vaaleammat viivat näyttävät suunnat havaintoasemilta meteorin ilmestyessä, ja tummemmat viivat näyttävät, missä se viimeksi nähtiin. Sininen nuoli näyttää meteorin näkyvän lennon.

static map
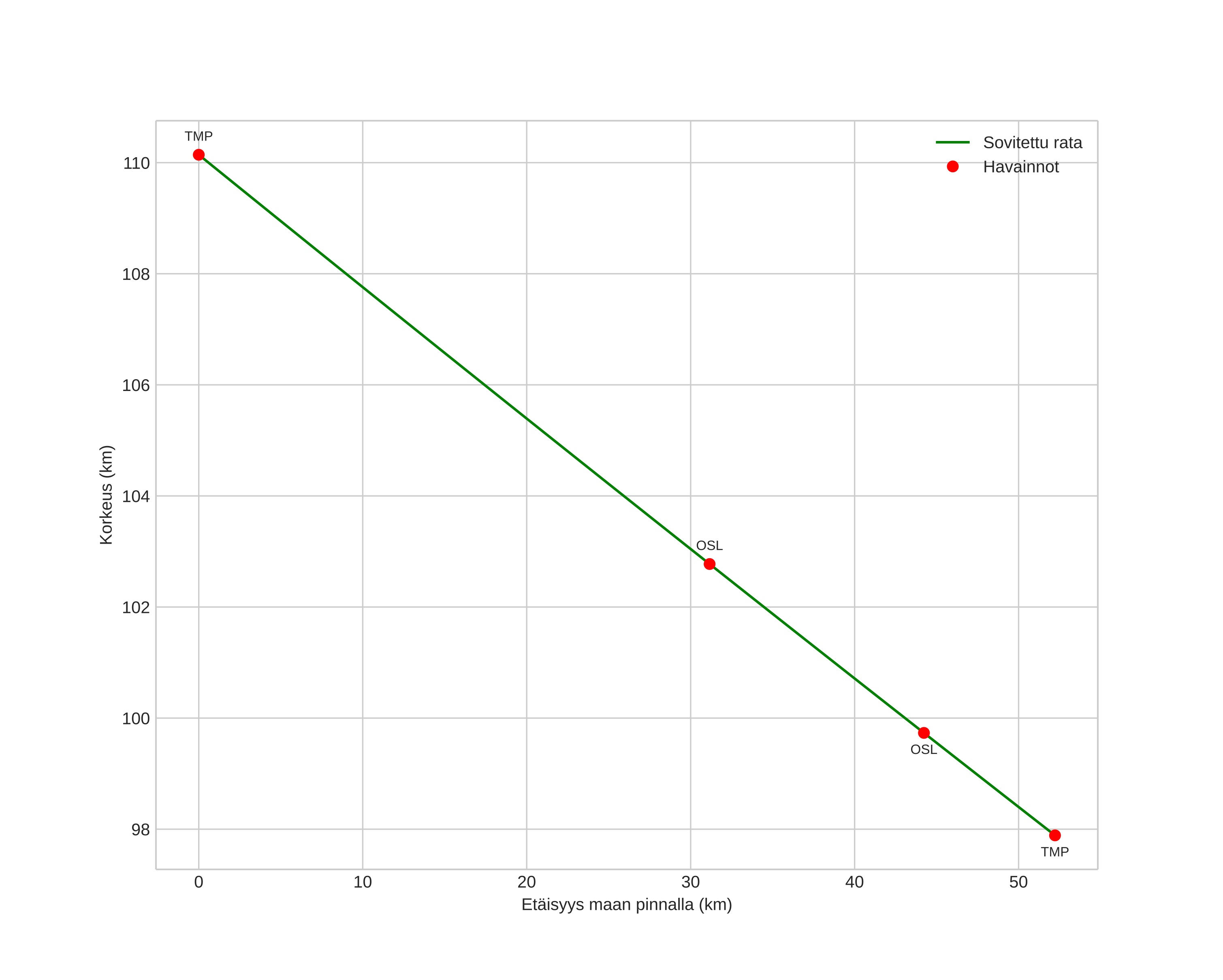
height profile
Meteorin ilmakehärata:
Alkukorkeus: 110,1 km
Loppukorkeus: 97,9 km
Alkupiste: 59,079N 10,336E
Loppupiste: 59,322N 9,551E
Suunta: 301,6°
Kallistuskulma: 13,1°
Tulonopeus: 59,1 km/s
Radiantin R,A,: 17:13 (258,3°)
Radiantin Dekl,: -4,6°
Meteoriparvi: Sporadinen
Meteoroidin rataelementit:
Perihelietäisyys: 0,235 AU
Eksentrisyys: 1,010
Inklinaatio: 118,8°
Nousevan solmun pituus: 304,9°
Perihelin argumentti: 59,0°
Keskianomalia: 0,3°
Epookki: 2018 JAN 25 04:29:32
orbit plot

Ei-interaktiivinen kuvaaja | Interaktiivinen kuvaaja

position vs time
speed and acceleration