🇳🇴 🇬🇧 🇩🇪 🇨🇿 🇫🇮

Meteor, poloha: Rollag 2018-01-26 03:28:39 UTC

Solobservatoriet – 1
Solobservatoriet – 1
Kristiansand – 3
Kristiansand – 3
Kristiansand – 4
Kristiansand – 4
Voksenlia – 1
Voksenlia – 1

Soubor KML  | Interaktivní mapa

map

Mapa zobrazuje dráhy meteoru. Světlejší čáry ukazují směry od pozorovacích stanic při objevení se meteoru a tmavší čáry, kde byl naposledy viděn. Modrá šipka značí viditelnou dráhu meteoru.

height profile
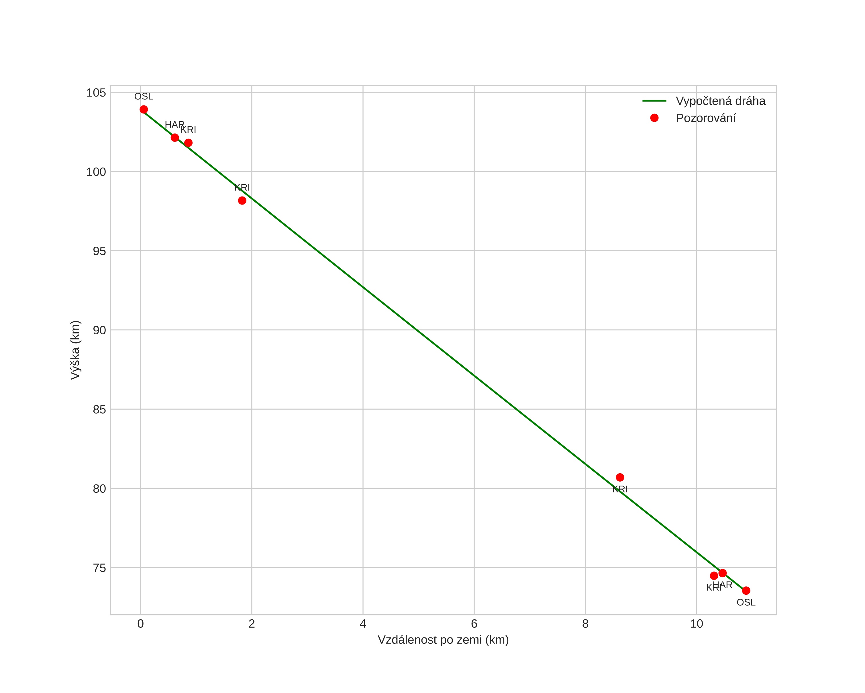
Atmosférická dráha meteoru:
Počáteční výška: 103,9 km
Konečná výška: 73,5 km
Počáteční poloha: 59,979N 8,969E
Konečná poloha: 60,018N 9,148E
Směr: 66,2°
Sklon: 70,3°
Vstupní rychlost: 36,7 km/s
Rektascenze radiantu: 10:30 (157,7°)
Deklinace radiantu: 47,8°
Meteorický roj: sporadický
Elementy dráhy meteoroidu:
Vzdálenost v periheliu: 0,538 AU
Excentricita: 0,954
Sklon dráhy: 40,9°
Délka vzestupného uzlu: 305,9°
Argument perihelia: 265,9°
Střední anomálie: 359,0°
Epocha: 2018 JAN 26 03:28:39
orbit

Neinteraktivní graf | Interaktivní graf

position vs time
speed & acceleration