🇳🇴 🇬🇧 🇩🇪 🇨🇿 🇫🇮

Meteor über Rollag 2018-01-26 03:28:39 UTC

Solobservatoriet – 1
Solobservatoriet – 1
Kristiansand – 3
Kristiansand – 3
Kristiansand – 4
Kristiansand – 4
Voksenlia – 1
Voksenlia – 1

KML-Datei  | Interaktive Karte

map

Die Karte zeigt die Peilungen für den Meteor. Die helleren Linien zeigen die Richtungen von den Beobachtungsorten beim Erscheinen des Meteors, und die dunkleren Linien, wo er zuletzt gesehen wurde. Der blaue Pfeil zeigt die sichtbare Bahn des Meteors.

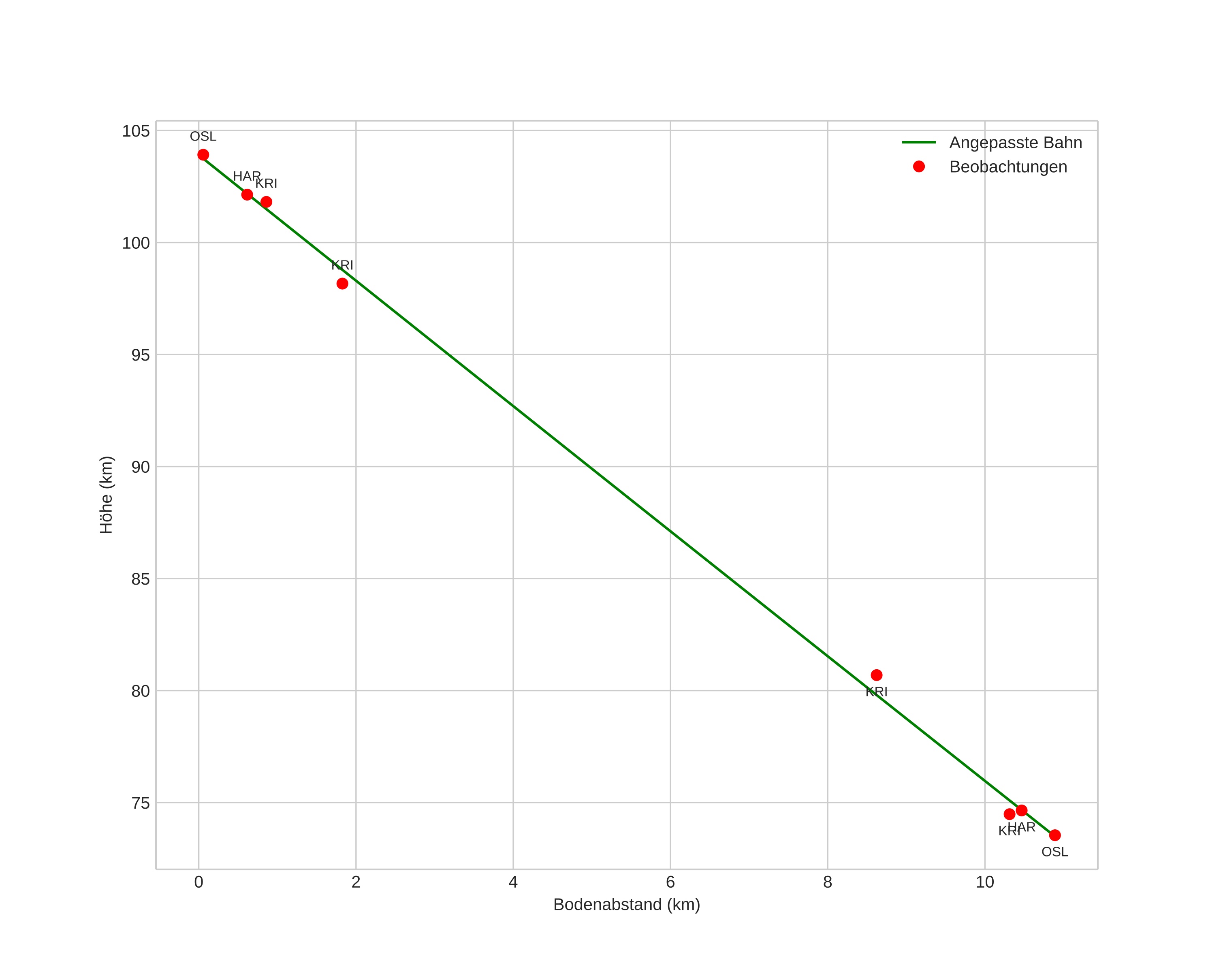
height profile
Atmosphärische Bahn des Meteors:
Anfangshöhe: 103,9 km
Endhöhe: 73,5 km
Startposition: 59,979N 8,969E
Endposition: 60,018N 9,148E
Richtung: 66,2°
Neigungswinkel: 70,3°
Eintrittsgeschwindigkeit: 36,7 km/s
Rektaszension des Radianten: 10:30 (157,7°)
Deklination des Radianten: 47,8°
Meteorstrom: sporadisch
Bahnelemente des Meteoroiden:
Periheldistanz: 0,538 AU
Exzentrizität: 0,954
Inklination: 40,9°
Länge des aufsteigenden Knotens: 305,9°
Argument des Perihels: 265,9°
Mittlere Anomalie: 359,0°
Epoche: 2018 JAN 26 03:28:39
orbit

Nicht-interaktives Diagramm | Interaktives Diagramm

position vs time
speed & acceleration