🇳🇴 🇬🇧 🇩🇪 🇨🇿 🇫🇮

Meteor, poloha: Måløy 2018-01-26 23:57:56 UTC

Soubor KML  |  InteraktivnĂ­ mapa

Mapa zobrazuje dráhy meteoru. Světlejší čáry ukazují směry od pozorovacích stanic při objevení se meteoru a tmavší čáry, kde byl naposledy viděn. Modrá šipka značí viditelnou dráhu meteoru.

static map
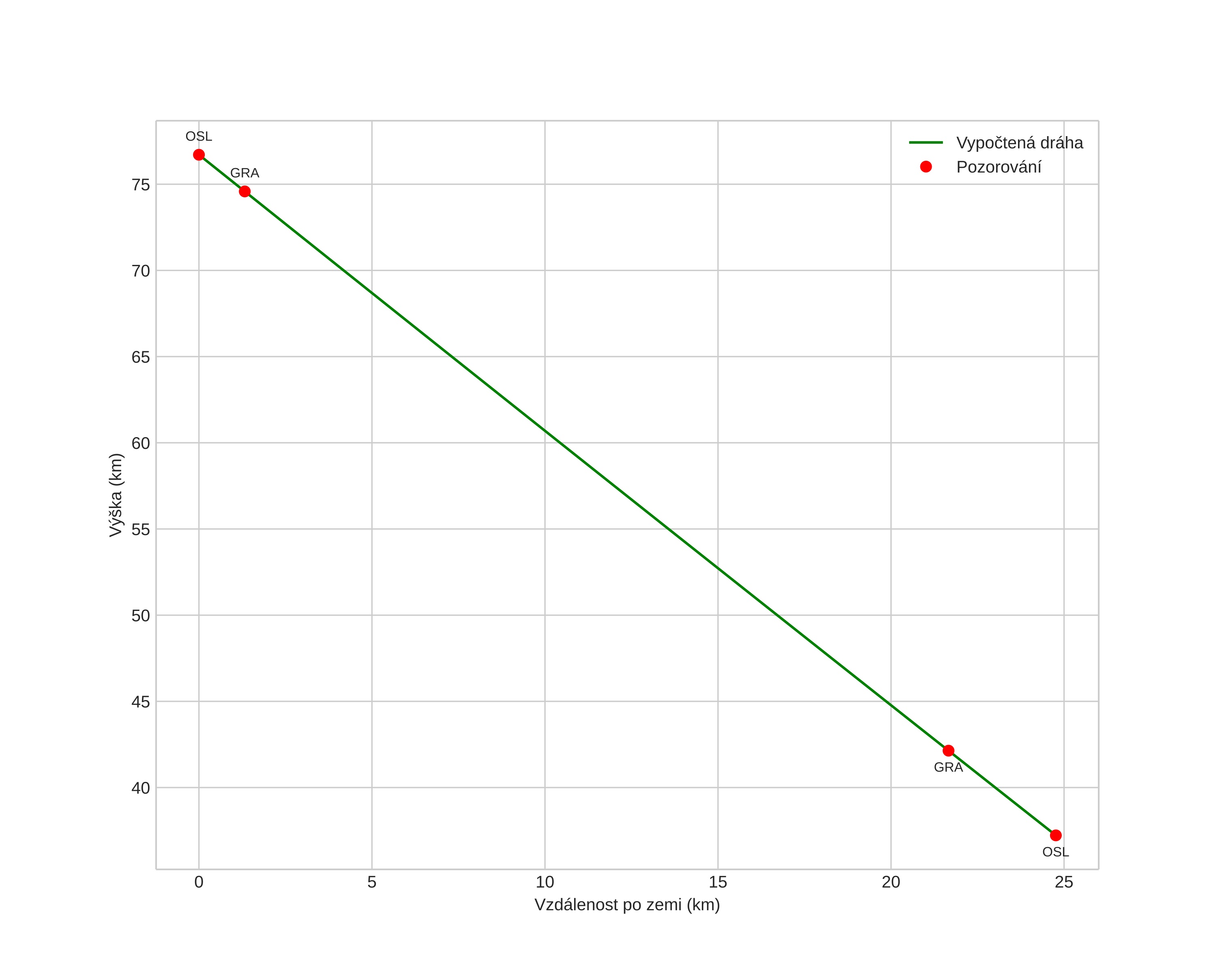
height profile
Atmosférická dráha meteoru:
Počáteční výška: 76,7 km
Konečná výška: 37,2 km
Počáteční poloha: 62,332N 3,778E
Konečná poloha: 62,112N 3,716E
Směr: 187,5°
Sklon: 57,9°
VstupnĂ­ rychlost: 20,9 km/s
Rektascenze radiantu: 18:47 (281,9°)
Deklinace radiantu: 82,3°
MeteorickĂ˝ roj: sporadickĂ˝
Elementy dráhy meteoroidu:
Vzdálenost v periheliu: 0,974 AU
Excentricita: 0,588
Sklon dráhy: 26,9°
Délka vzestupného uzlu: 306,7°
Argument perihelia: 194,0°
Střední anomálie: 357,0°
Epocha: 2018 JAN 26 23:57:56
orbit plot

NeinteraktivnĂ­ graf | InteraktivnĂ­ graf

position vs time
speed and acceleration