🇳🇴 🇬🇧 🇩🇪 🇨🇿 🇫🇮

Meteor Måløyn yllä 2018-01-26 23:57:56 UTC

KML-tiedosto  |  Interaktiivinen kartta

Kartta näyttää meteorin suuntahavainnot. Vaaleammat viivat näyttävät suunnat havaintoasemilta meteorin ilmestyessä, ja tummemmat viivat näyttävät, missä se viimeksi nähtiin. Sininen nuoli näyttää meteorin näkyvän lennon.

static map
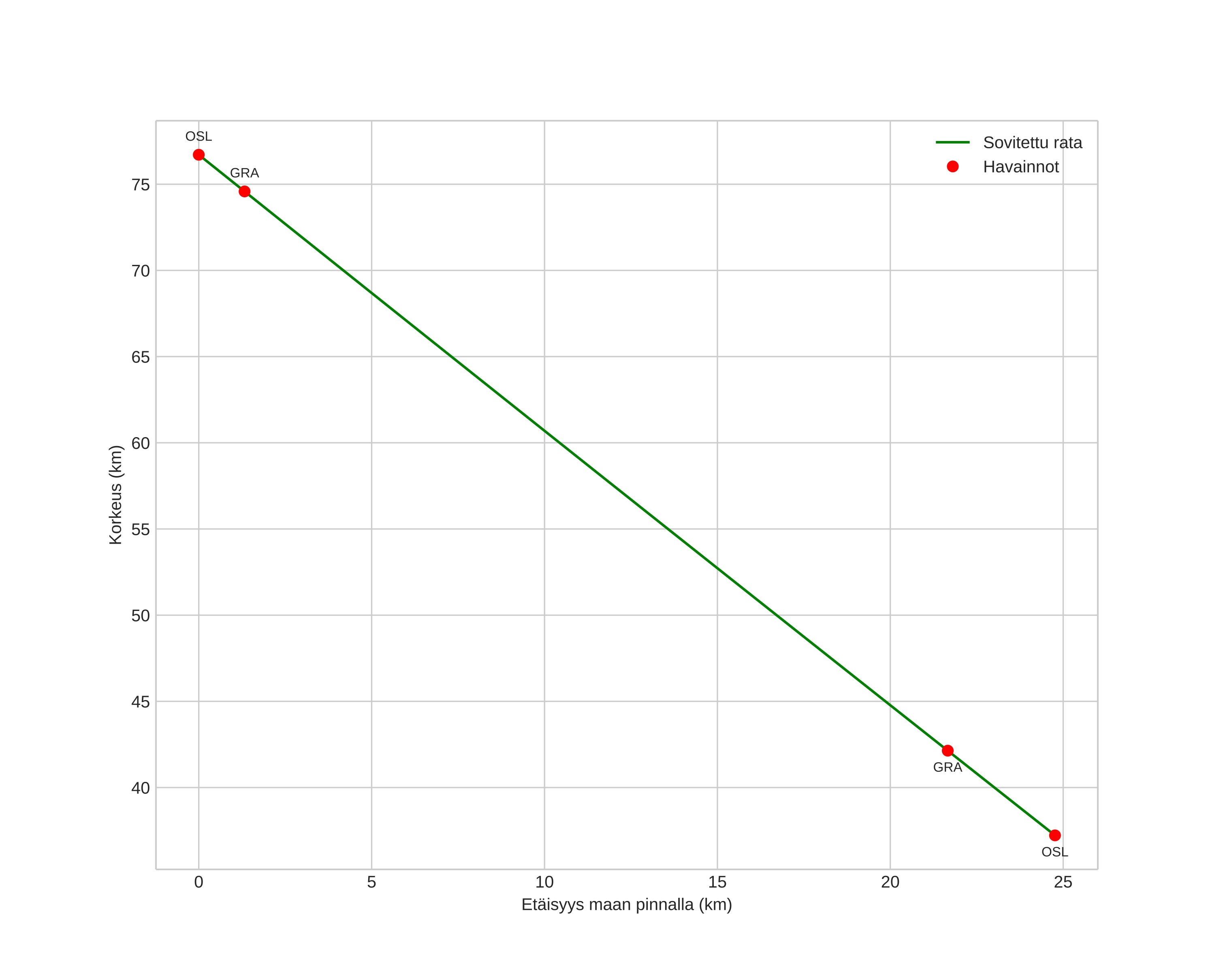
height profile
Meteorin ilmakehärata:
Alkukorkeus: 76,7 km
Loppukorkeus: 37,2 km
Alkupiste: 62,332N 3,778E
Loppupiste: 62,112N 3,716E
Suunta: 187,5°
Kallistuskulma: 57,9°
Tulonopeus: 20,9 km/s
Radiantin R,A,: 18:47 (281,9°)
Radiantin Dekl,: 82,3°
Meteoriparvi: Sporadinen
Meteoroidin rataelementit:
Perihelietäisyys: 0,974 AU
Eksentrisyys: 0,588
Inklinaatio: 26,9°
Nousevan solmun pituus: 306,7°
Perihelin argumentti: 194,0°
Keskianomalia: 357,0°
Epookki: 2018 JAN 26 23:57:56
orbit plot

Ei-interaktiivinen kuvaaja | Interaktiivinen kuvaaja

position vs time
speed and acceleration