🇳🇴 🇬🇧 🇩🇪 🇨🇿 🇫🇮

Meteor, poloha: Kiruna 2018-01-28 03:51:35 UTC

Soubor KML  |  InteraktivnĂ­ mapa

Mapa zobrazuje dráhy meteoru. Světlejší čáry ukazují směry od pozorovacích stanic při objevení se meteoru a tmavší čáry, kde byl naposledy viděn. Modrá šipka značí viditelnou dráhu meteoru.

static map
height profile
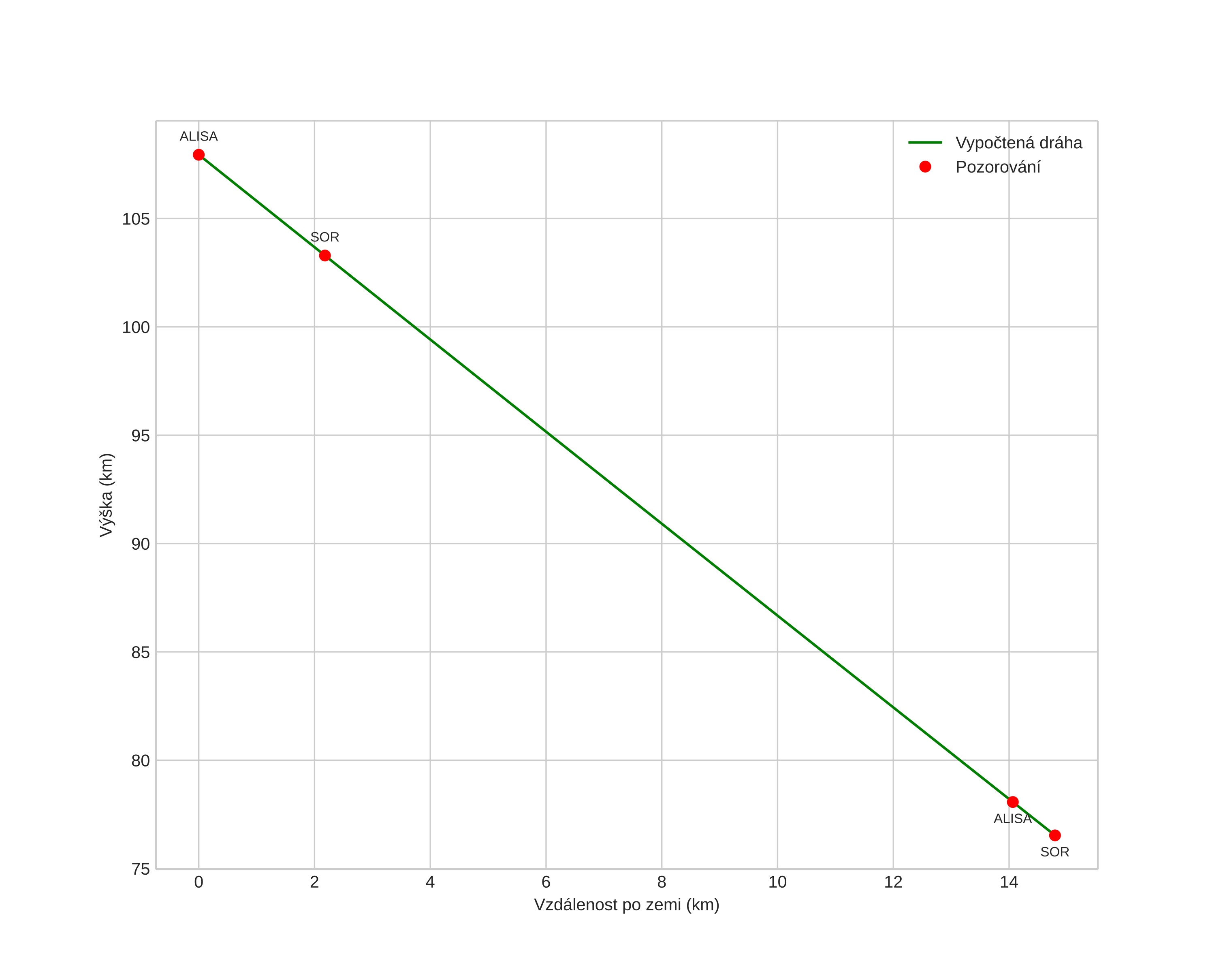
Atmosférická dráha meteoru:
Počáteční výška: 107,9 km
Konečná výška: 76,5 km
Počáteční poloha: 67,398N 19,827E
Konečná poloha: 67,528N 19,751E
Směr: 347,5°
Sklon: 64,8°
VstupnĂ­ rychlost: 58,5 km/s
Rektascenze radiantu: 14:07 (211,8°)
Deklinace radiantu: 42,2°
MeteorickĂ˝ roj: sporadickĂ˝
Elementy dráhy meteoroidu:
Vzdálenost v periheliu: 0,869 AU
Excentricita: 1,477
Sklon dráhy: 91,9°
Délka vzestupného uzlu: 307,9°
Argument perihelia: 216,6°
Střední anomálie: -8,3°
Epocha: 2018 JAN 28 03:51:35
orbit plot

NeinteraktivnĂ­ graf | InteraktivnĂ­ graf

position vs time
speed and acceleration