🇳🇴 🇬🇧 🇩🇪 🇨🇿 🇫🇮

Meteor Kirunan yllä 2018-01-28 03:51:35 UTC

KML-tiedosto  |  Interaktiivinen kartta

Kartta näyttää meteorin suuntahavainnot. Vaaleammat viivat näyttävät suunnat havaintoasemilta meteorin ilmestyessä, ja tummemmat viivat näyttävät, missä se viimeksi nähtiin. Sininen nuoli näyttää meteorin näkyvän lennon.

static map
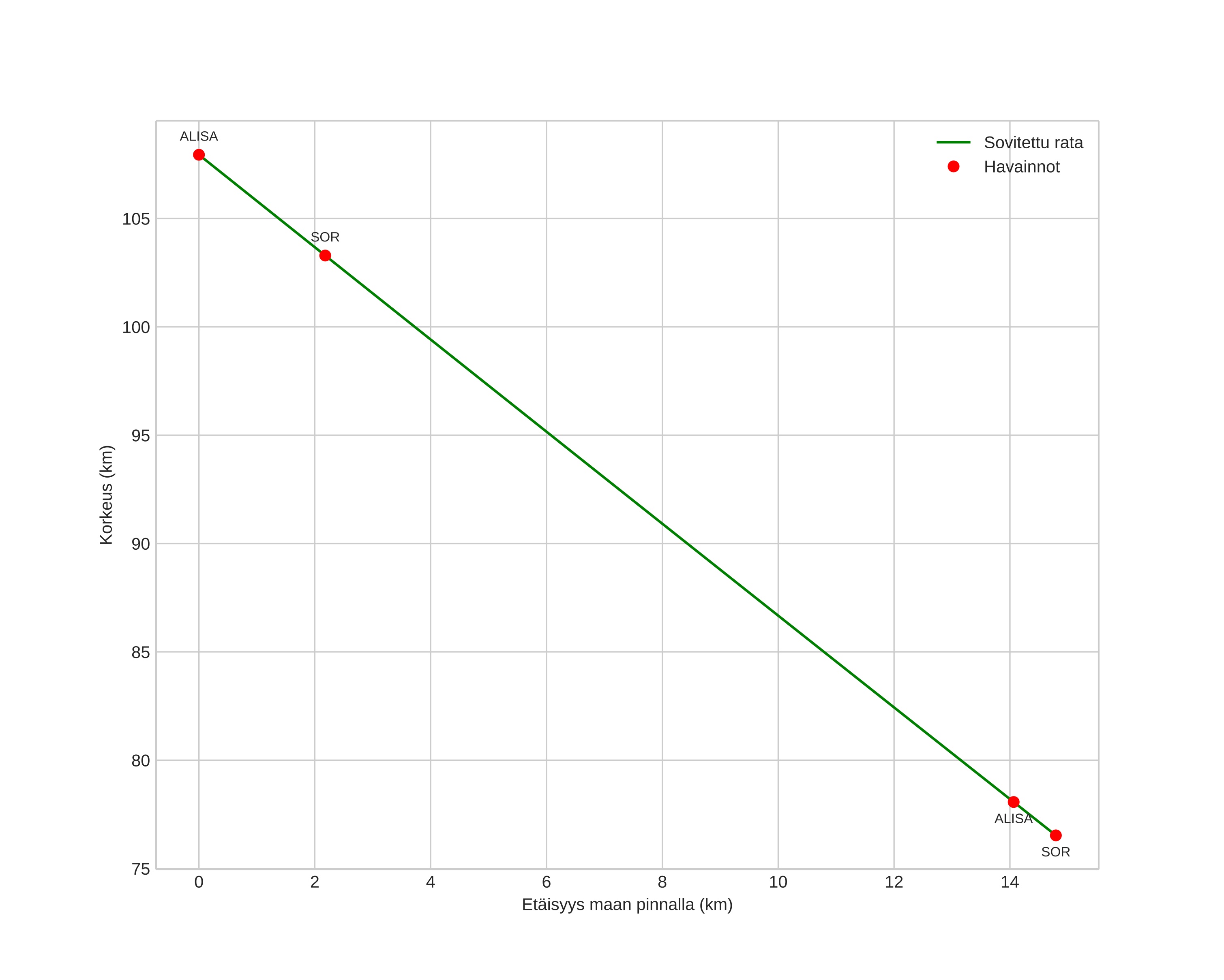
height profile
Meteorin ilmakehärata:
Alkukorkeus: 107,9 km
Loppukorkeus: 76,5 km
Alkupiste: 67,398N 19,827E
Loppupiste: 67,528N 19,751E
Suunta: 347,5°
Kallistuskulma: 64,8°
Tulonopeus: 58,5 km/s
Radiantin R,A,: 14:07 (211,8°)
Radiantin Dekl,: 42,2°
Meteoriparvi: Sporadinen
Meteoroidin rataelementit:
Perihelietäisyys: 0,869 AU
Eksentrisyys: 1,477
Inklinaatio: 91,9°
Nousevan solmun pituus: 307,9°
Perihelin argumentti: 216,6°
Keskianomalia: -8,3°
Epookki: 2018 JAN 28 03:51:35
orbit plot

Ei-interaktiivinen kuvaaja | Interaktiivinen kuvaaja

position vs time
speed and acceleration