🇳🇴 🇬🇧 🇩🇪 🇨🇿 🇫🇮

Meteor, poloha: Egersund 2018-01-28 20:02:59 UTC

Soubor KML  |  InteraktivnĂ­ mapa

Mapa zobrazuje dráhy meteoru. Světlejší čáry ukazují směry od pozorovacích stanic při objevení se meteoru a tmavší čáry, kde byl naposledy viděn. Modrá šipka značí viditelnou dráhu meteoru.

static map
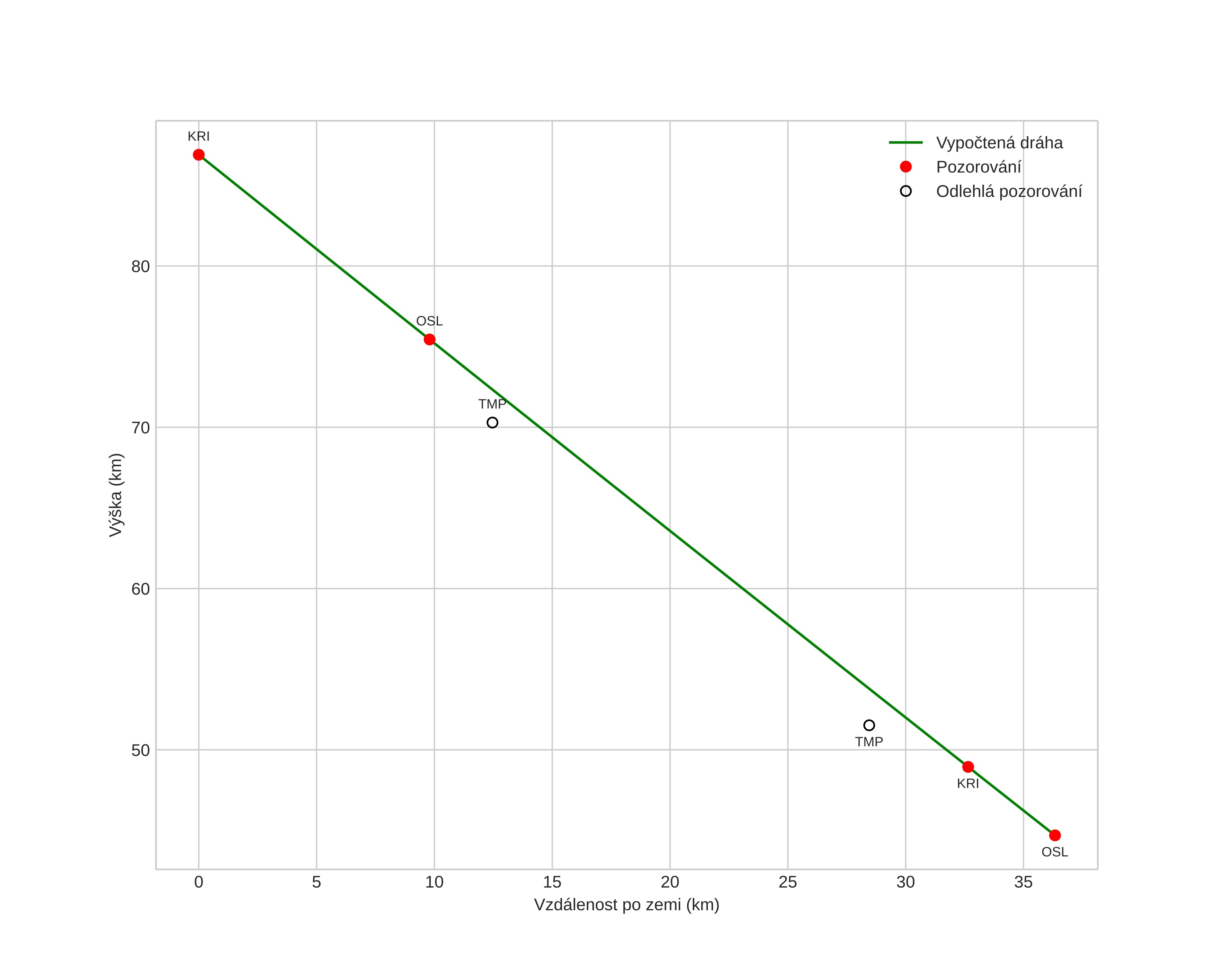
height profile
Atmosférická dráha meteoru:
Počáteční výška: 86,9 km
Konečná výška: 44,7 km
Počáteční poloha: 56,953N 6,010E
Konečná poloha: 56,984N 5,413E
Směr: 275,7°
Sklon: 49,3°
VstupnĂ­ rychlost: 22,1 km/s
Rektascenze radiantu: 08:42 (130,7°)
Deklinace radiantu: 34,9°
MeteorickĂ˝ roj: sporadickĂ˝
Elementy dráhy meteoroidu:
Vzdálenost v periheliu: 0,683 AU
Excentricita: 0,659
Sklon dráhy: 9,4°
Délka vzestupného uzlu: 308,6°
Argument perihelia: 256,8°
Střední anomálie: 344,5°
Epocha: 2018 JAN 28 20:02:59
orbit plot

NeinteraktivnĂ­ graf | InteraktivnĂ­ graf

position vs time
speed and acceleration