🇳🇴 🇬🇧 🇩🇪 🇨🇿 🇫🇮

Meteor Egersundin yllä 2018-01-28 20:02:59 UTC

KML-tiedosto  |  Interaktiivinen kartta

Kartta näyttää meteorin suuntahavainnot. Vaaleammat viivat näyttävät suunnat havaintoasemilta meteorin ilmestyessä, ja tummemmat viivat näyttävät, missä se viimeksi nähtiin. Sininen nuoli näyttää meteorin näkyvän lennon.

static map
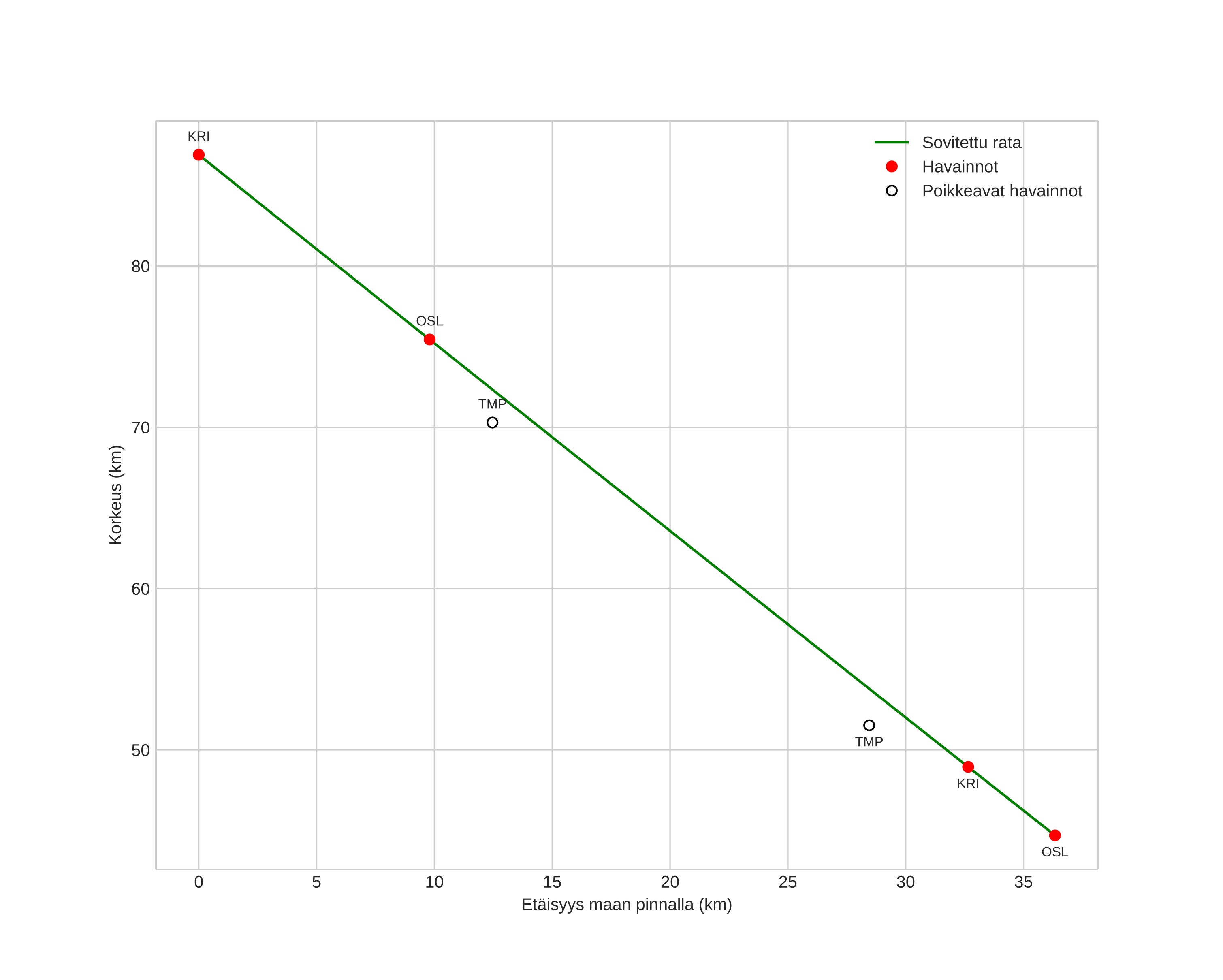
height profile
Meteorin ilmakehärata:
Alkukorkeus: 86,9 km
Loppukorkeus: 44,7 km
Alkupiste: 56,953N 6,010E
Loppupiste: 56,984N 5,413E
Suunta: 275,7°
Kallistuskulma: 49,3°
Tulonopeus: 22,1 km/s
Radiantin R,A,: 08:42 (130,7°)
Radiantin Dekl,: 34,9°
Meteoriparvi: Sporadinen
Meteoroidin rataelementit:
Perihelietäisyys: 0,683 AU
Eksentrisyys: 0,659
Inklinaatio: 9,4°
Nousevan solmun pituus: 308,6°
Perihelin argumentti: 256,8°
Keskianomalia: 344,5°
Epookki: 2018 JAN 28 20:02:59
orbit plot

Ei-interaktiivinen kuvaaja | Interaktiivinen kuvaaja

position vs time
speed and acceleration