🇳🇴 🇬🇧 🇩🇪 🇨🇿 🇫🇮

Meteor, poloha: Halden 2018-02-02 01:33:09 UTC

Soubor KML  |  InteraktivnĂ­ mapa

Mapa zobrazuje dráhy meteoru. Světlejší čáry ukazují směry od pozorovacích stanic při objevení se meteoru a tmavší čáry, kde byl naposledy viděn. Modrá šipka značí viditelnou dráhu meteoru.

static map
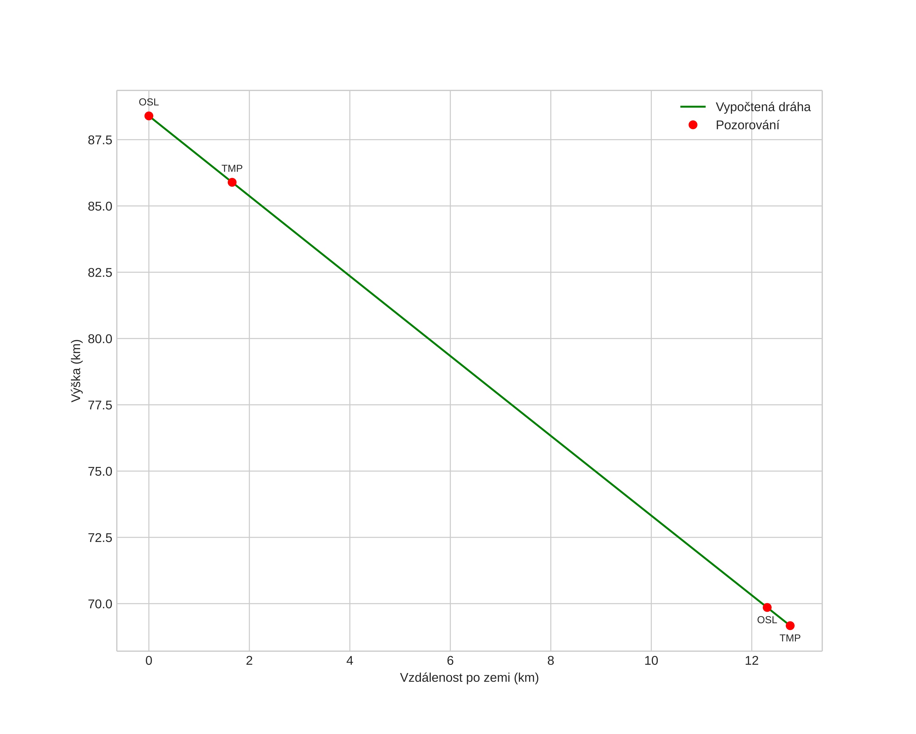
height profile
Atmosférická dráha meteoru:
Počáteční výška: 88,4 km
Konečná výška: 69,2 km
Počáteční poloha: 59,132N 11,120E
Konečná poloha: 59,188N 11,315E
Směr: 60,8°
Sklon: 56,4°
VstupnĂ­ rychlost: 22,7 km/s
Rektascenze radiantu: 08:31 (127,9°)
Deklinace radiantu: 32,9°
MeteorickĂ˝ roj: sporadickĂ˝
Elementy dráhy meteoroidu:
Vzdálenost v periheliu: 0,722 AU
Excentricita: 0,771
Sklon dráhy: 7,9°
Délka vzestupného uzlu: 312,9°
Argument perihelia: 247,4°
Střední anomálie: 353,1°
Epocha: 2018 FEB 02 01:33:09
orbit plot

NeinteraktivnĂ­ graf | InteraktivnĂ­ graf

position vs time
speed and acceleration