🇳🇴 🇬🇧 🇩🇪 🇨🇿 🇫🇮

Meteor Haldenin yllä 2018-02-02 01:33:09 UTC

KML-tiedosto  |  Interaktiivinen kartta

Kartta näyttää meteorin suuntahavainnot. Vaaleammat viivat näyttävät suunnat havaintoasemilta meteorin ilmestyessä, ja tummemmat viivat näyttävät, missä se viimeksi nähtiin. Sininen nuoli näyttää meteorin näkyvän lennon.

static map
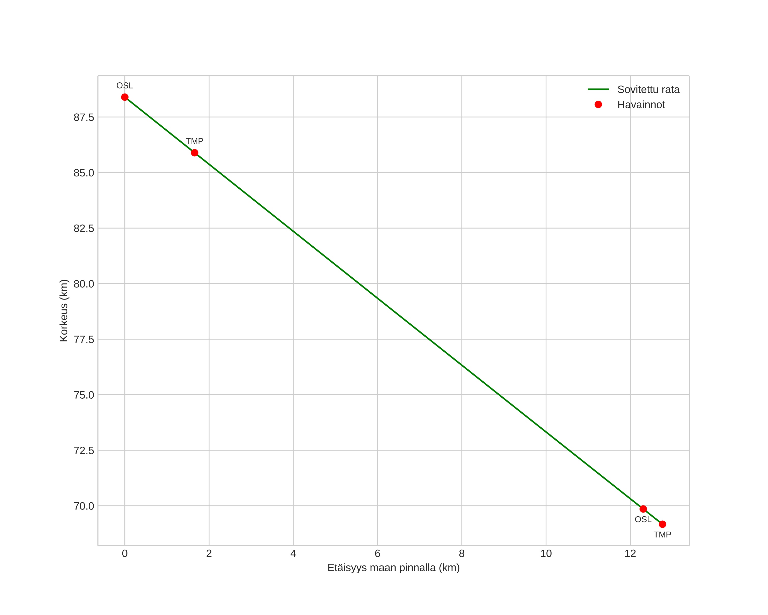
height profile
Meteorin ilmakehärata:
Alkukorkeus: 88,4 km
Loppukorkeus: 69,2 km
Alkupiste: 59,132N 11,120E
Loppupiste: 59,188N 11,315E
Suunta: 60,8°
Kallistuskulma: 56,4°
Tulonopeus: 22,7 km/s
Radiantin R,A,: 08:31 (127,9°)
Radiantin Dekl,: 32,9°
Meteoriparvi: Sporadinen
Meteoroidin rataelementit:
Perihelietäisyys: 0,722 AU
Eksentrisyys: 0,771
Inklinaatio: 7,9°
Nousevan solmun pituus: 312,9°
Perihelin argumentti: 247,4°
Keskianomalia: 353,1°
Epookki: 2018 FEB 02 01:33:09
orbit plot

Ei-interaktiivinen kuvaaja | Interaktiivinen kuvaaja

position vs time
speed and acceleration