🇳🇴 🇬🇧 🇩🇪 🇨🇿 🇫🇮

Meteor, poloha: Malmberget 2018-02-11 20:39:18 UTC

Soubor KML  |  InteraktivnĂ­ mapa

Mapa zobrazuje dráhy meteoru. Světlejší čáry ukazují směry od pozorovacích stanic při objevení se meteoru a tmavší čáry, kde byl naposledy viděn. Modrá šipka značí viditelnou dráhu meteoru.

static map
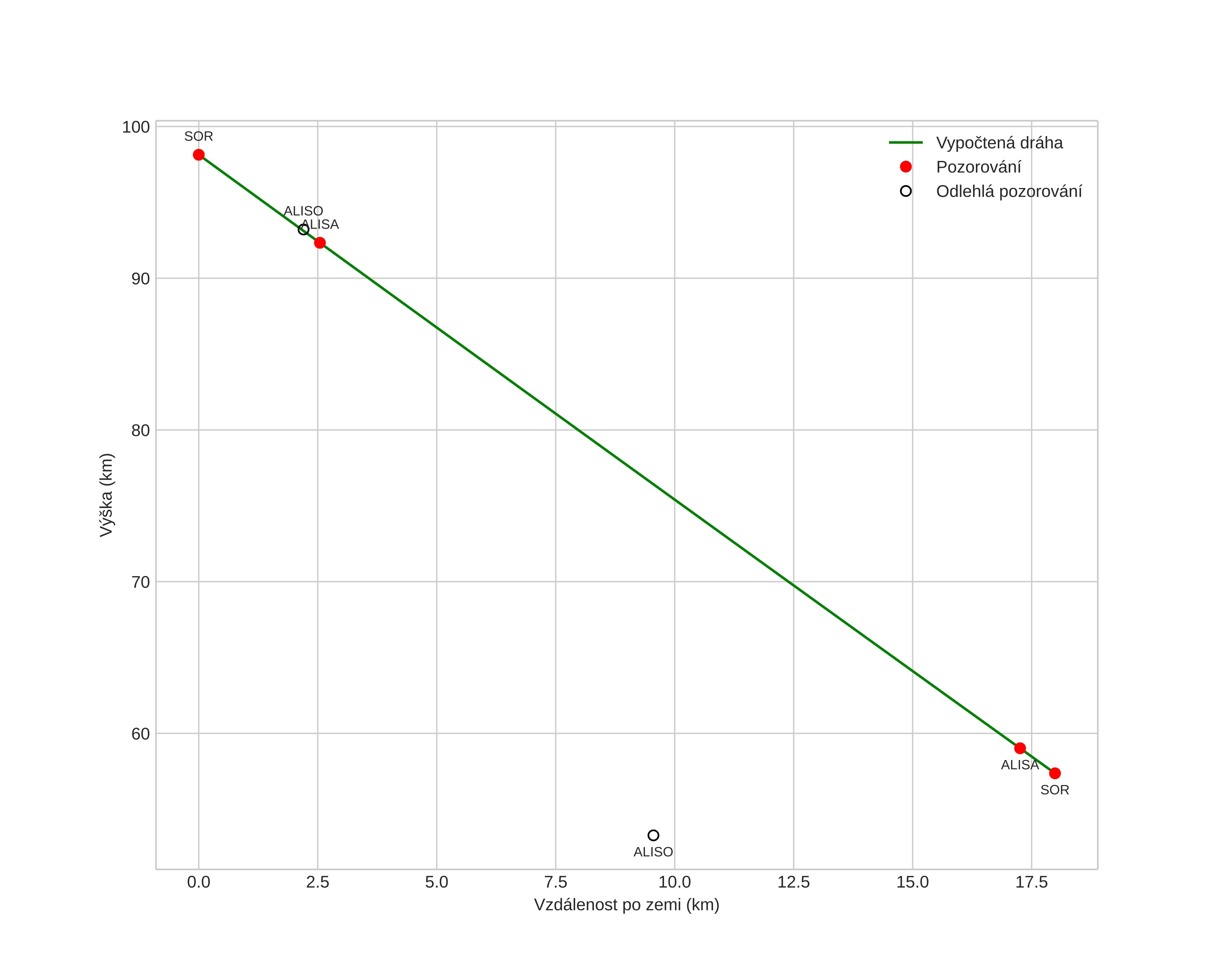
height profile
Atmosférická dráha meteoru:
Počáteční výška: 98,1 km
Konečná výška: 57,4 km
Počáteční poloha: 67,917N 22,116E
Konečná poloha: 67,785N 21,868E
Směr: 215,3°
Sklon: 66,2°
VstupnĂ­ rychlost: 25,6 km/s
Rektascenze radiantu: 13:13 (198,5°)
Deklinace radiantu: 76,2°
MeteorickĂ˝ roj: sporadickĂ˝
Elementy dráhy meteoroidu:
Vzdálenost v periheliu: 0,940 AU
Excentricita: 0,791
Sklon dráhy: 32,9°
Délka vzestupného uzlu: 322,8°
Argument perihelia: 207,0°
Střední anomálie: 358,0°
Epocha: 2018 FEB 11 20:39:18
orbit plot

NeinteraktivnĂ­ graf | InteraktivnĂ­ graf

position vs time
speed and acceleration