🇳🇴 🇬🇧 🇩🇪 🇨🇿 🇫🇮

Meteor Malmbergetin yllä 2018-02-11 20:39:18 UTC

KML-tiedosto  |  Interaktiivinen kartta

Kartta näyttää meteorin suuntahavainnot. Vaaleammat viivat näyttävät suunnat havaintoasemilta meteorin ilmestyessä, ja tummemmat viivat näyttävät, missä se viimeksi nähtiin. Sininen nuoli näyttää meteorin näkyvän lennon.

static map
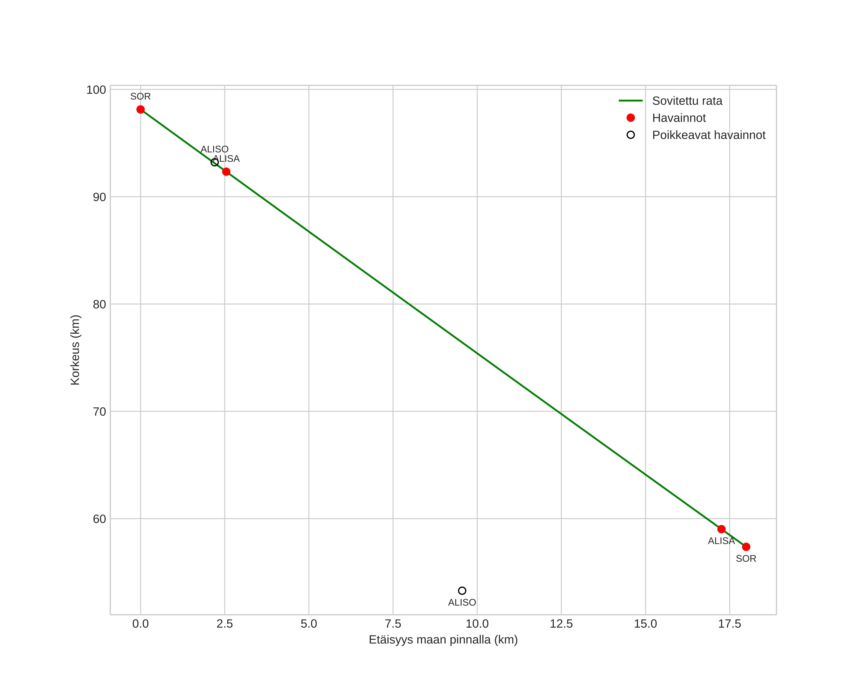
height profile
Meteorin ilmakehärata:
Alkukorkeus: 98,1 km
Loppukorkeus: 57,4 km
Alkupiste: 67,917N 22,116E
Loppupiste: 67,785N 21,868E
Suunta: 215,3°
Kallistuskulma: 66,2°
Tulonopeus: 25,6 km/s
Radiantin R,A,: 13:13 (198,5°)
Radiantin Dekl,: 76,2°
Meteoriparvi: Sporadinen
Meteoroidin rataelementit:
Perihelietäisyys: 0,940 AU
Eksentrisyys: 0,791
Inklinaatio: 32,9°
Nousevan solmun pituus: 322,8°
Perihelin argumentti: 207,0°
Keskianomalia: 358,0°
Epookki: 2018 FEB 11 20:39:18
orbit plot

Ei-interaktiivinen kuvaaja | Interaktiivinen kuvaaja

position vs time
speed and acceleration