🇳🇴 🇬🇧 🇩🇪 🇨🇿 🇫🇮

Meteor, poloha: Karlshus 2018-02-27 03:35:26 UTC

Soubor KML  |  InteraktivnĂ­ mapa

Mapa zobrazuje dráhy meteoru. Světlejší čáry ukazují směry od pozorovacích stanic při objevení se meteoru a tmavší čáry, kde byl naposledy viděn. Modrá šipka značí viditelnou dráhu meteoru.

static map
height profile
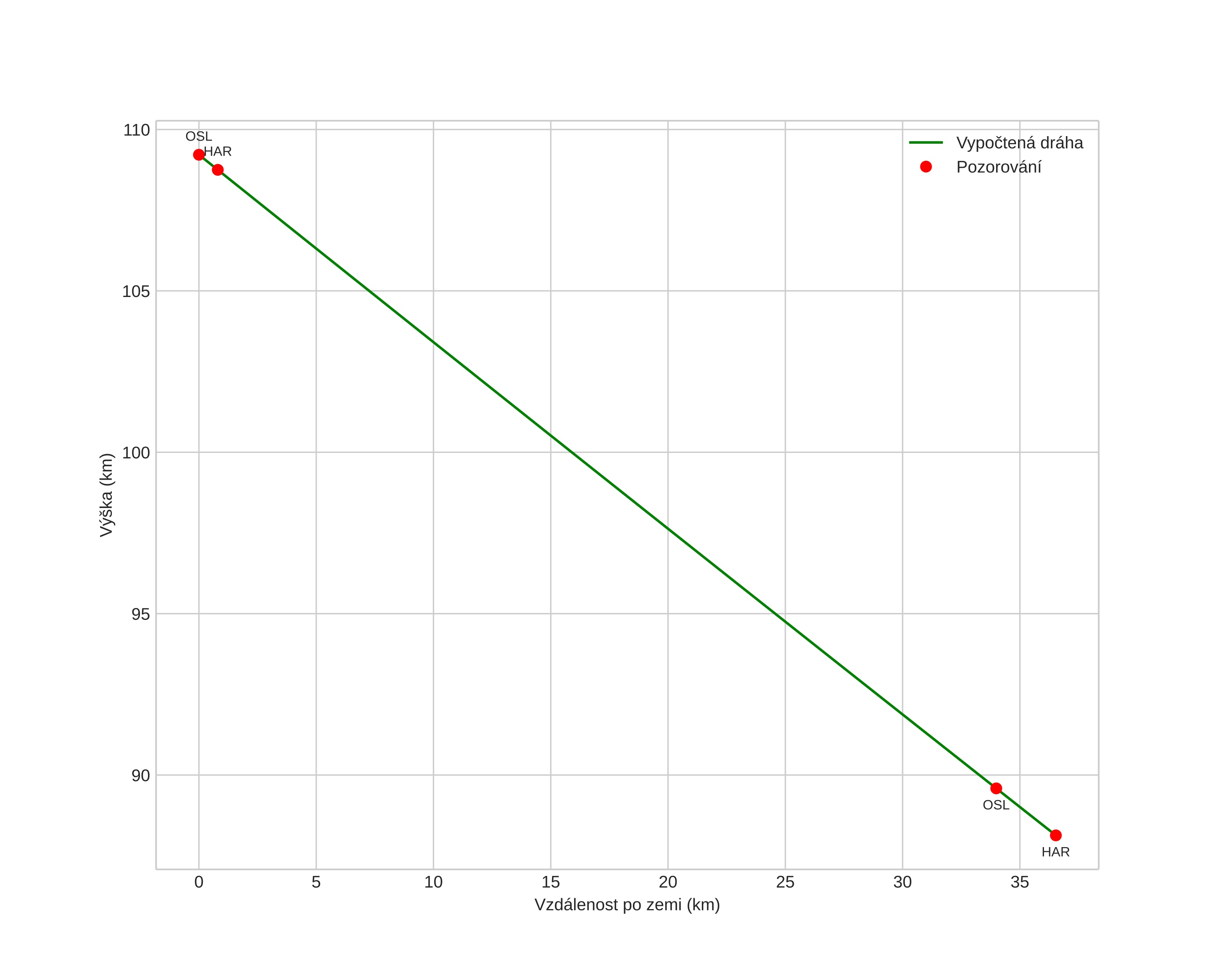
Atmosférická dráha meteoru:
Počáteční výška: 109,2 km
Konečná výška: 88,1 km
Počáteční poloha: 59,064N 10,850E
Konečná poloha: 59,393N 10,839E
Směr: 359,1°
Sklon: 30,0°
VstupnĂ­ rychlost: 61,9 km/s
Rektascenze radiantu: 14:47 (221,9°)
Deklinace radiantu: -1,4°
MeteorickĂ˝ roj: sporadickĂ˝
Elementy dráhy meteoroidu:
Vzdálenost v periheliu: 0,420 AU
Excentricita: 0,845
Sklon dráhy: 146,0°
Délka vzestupného uzlu: 338,2°
Argument perihelia: 285,0°
Střední anomálie: 350,6°
Epocha: 2018 FEB 27 03:35:26
orbit plot

NeinteraktivnĂ­ graf | InteraktivnĂ­ graf

position vs time
speed and acceleration