🇳🇴 🇬🇧 🇩🇪 🇨🇿 🇫🇮

Meteor Karlshusin yllä 2018-02-27 03:35:26 UTC

KML-tiedosto  |  Interaktiivinen kartta

Kartta näyttää meteorin suuntahavainnot. Vaaleammat viivat näyttävät suunnat havaintoasemilta meteorin ilmestyessä, ja tummemmat viivat näyttävät, missä se viimeksi nähtiin. Sininen nuoli näyttää meteorin näkyvän lennon.

static map
height profile
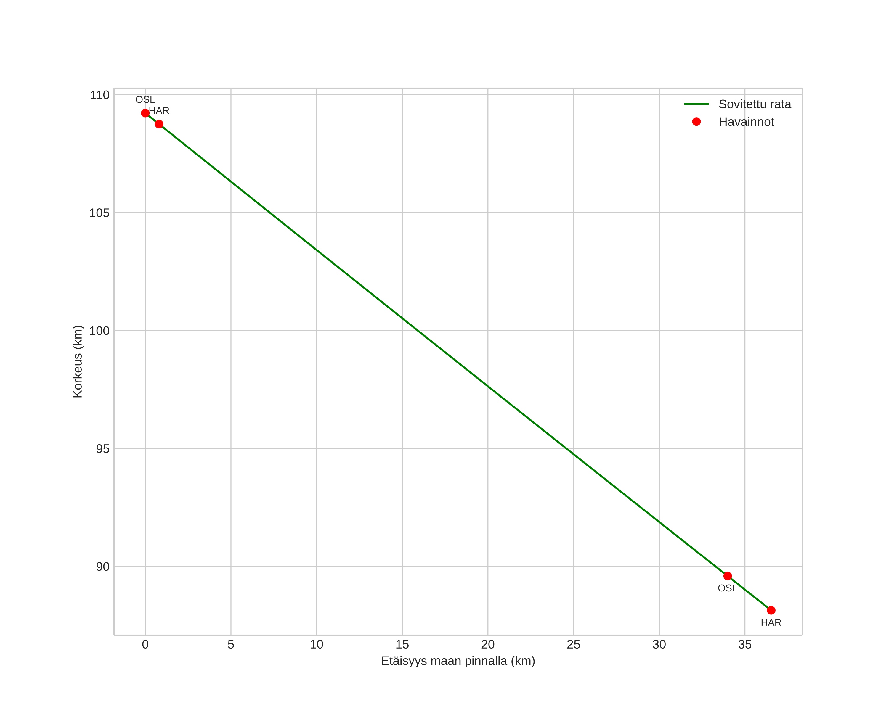
Meteorin ilmakehärata:
Alkukorkeus: 109,2 km
Loppukorkeus: 88,1 km
Alkupiste: 59,064N 10,850E
Loppupiste: 59,393N 10,839E
Suunta: 359,1°
Kallistuskulma: 30,0°
Tulonopeus: 61,9 km/s
Radiantin R,A,: 14:47 (221,9°)
Radiantin Dekl,: -1,4°
Meteoriparvi: Sporadinen
Meteoroidin rataelementit:
Perihelietäisyys: 0,420 AU
Eksentrisyys: 0,845
Inklinaatio: 146,0°
Nousevan solmun pituus: 338,2°
Perihelin argumentti: 285,0°
Keskianomalia: 350,6°
Epookki: 2018 FEB 27 03:35:26
orbit plot

Ei-interaktiivinen kuvaaja | Interaktiivinen kuvaaja

position vs time
speed and acceleration