🇳🇴 🇬🇧 🇩🇪 🇨🇿 🇫🇮

Meteor, poloha: Sand 2018-03-19 22:09:17 UTC

Soubor KML  |  InteraktivnĂ­ mapa

Mapa zobrazuje dráhy meteoru. Světlejší čáry ukazují směry od pozorovacích stanic při objevení se meteoru a tmavší čáry, kde byl naposledy viděn. Modrá šipka značí viditelnou dráhu meteoru.

static map
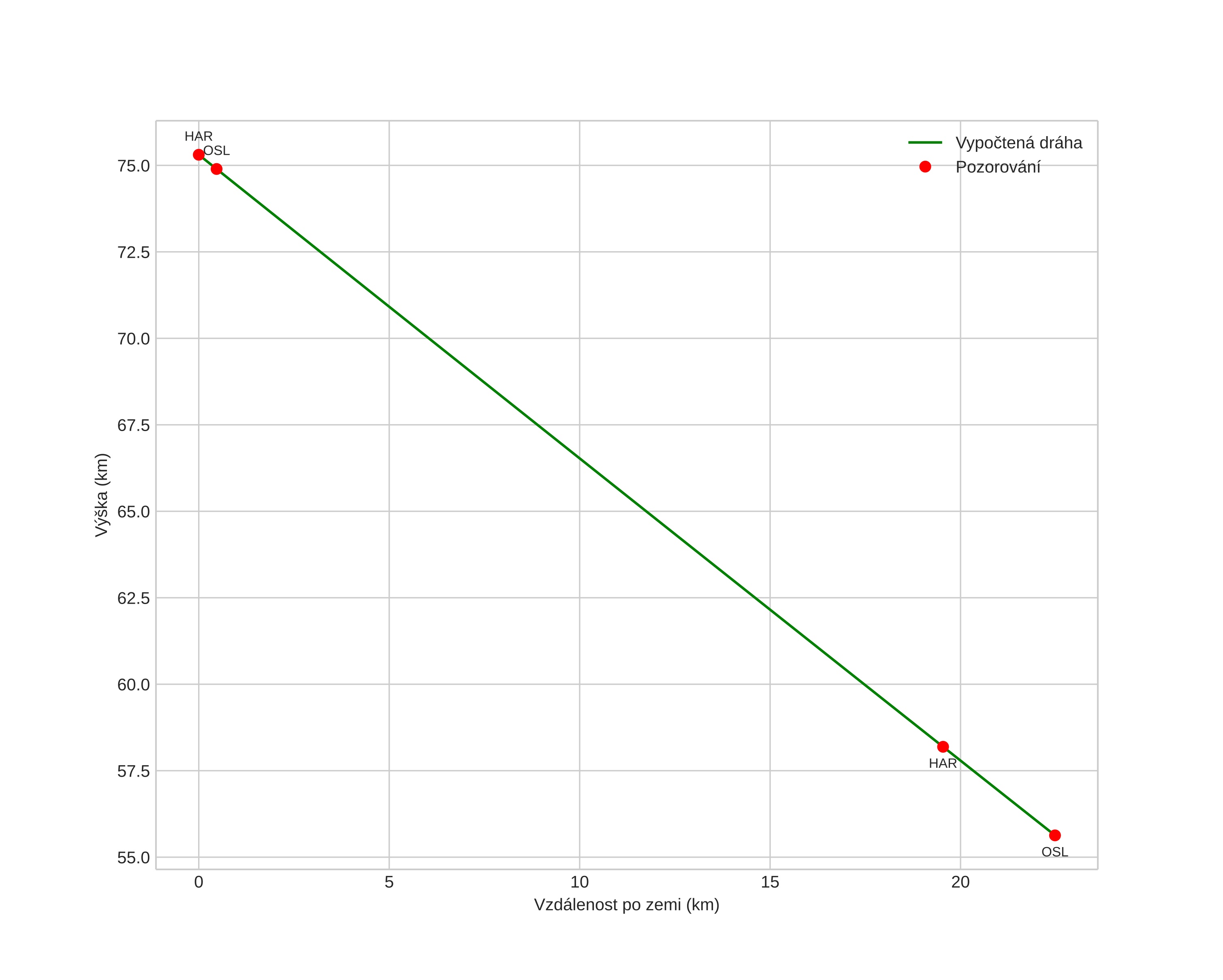
height profile
Atmosférická dráha meteoru:
Počáteční výška: 75,3 km
Konečná výška: 55,6 km
Počáteční poloha: 60,429N 11,064E
Konečná poloha: 60,471N 11,465E
Směr: 77,9°
Sklon: 41,2°
VstupnĂ­ rychlost: 12,8 km/s
Rektascenze radiantu: 06:09 (92,5°)
Deklinace radiantu: 14,8°
MeteorickĂ˝ roj: sporadickĂ˝
Elementy dráhy meteoroidu:
Vzdálenost v periheliu: 0,996 AU
Excentricita: 0,493
Sklon dráhy: 1,6°
Délka vzestupného uzlu: 179,0°
Argument perihelia: 359,6°
Střední anomálie: 0,1°
Epocha: 2018 MAR 19 22:09:17
orbit plot

NeinteraktivnĂ­ graf | InteraktivnĂ­ graf

position vs time
speed and acceleration