🇳🇴 🇬🇧 🇩🇪 🇨🇿 🇫🇮

Meteor Sandin yllä 2018-03-19 22:09:17 UTC

KML-tiedosto  |  Interaktiivinen kartta

Kartta näyttää meteorin suuntahavainnot. Vaaleammat viivat näyttävät suunnat havaintoasemilta meteorin ilmestyessä, ja tummemmat viivat näyttävät, missä se viimeksi nähtiin. Sininen nuoli näyttää meteorin näkyvän lennon.

static map
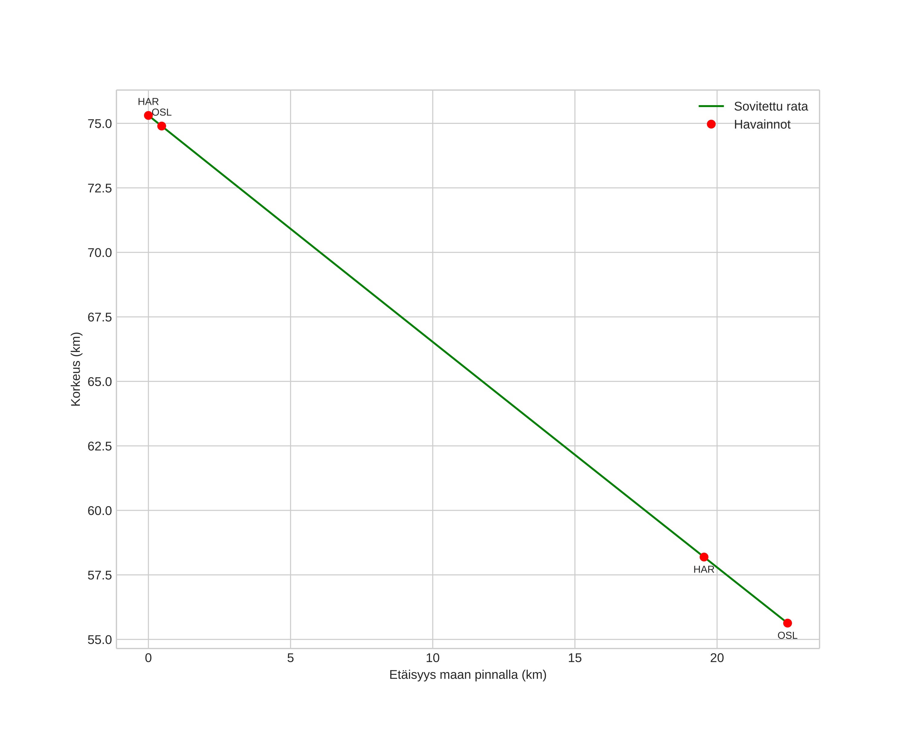
height profile
Meteorin ilmakehärata:
Alkukorkeus: 75,3 km
Loppukorkeus: 55,6 km
Alkupiste: 60,429N 11,064E
Loppupiste: 60,471N 11,465E
Suunta: 77,9°
Kallistuskulma: 41,2°
Tulonopeus: 12,8 km/s
Radiantin R,A,: 06:09 (92,5°)
Radiantin Dekl,: 14,8°
Meteoriparvi: Sporadinen
Meteoroidin rataelementit:
Perihelietäisyys: 0,996 AU
Eksentrisyys: 0,493
Inklinaatio: 1,6°
Nousevan solmun pituus: 179,0°
Perihelin argumentti: 359,6°
Keskianomalia: 0,1°
Epookki: 2018 MAR 19 22:09:17
orbit plot

Ei-interaktiivinen kuvaaja | Interaktiivinen kuvaaja

position vs time
speed and acceleration