🇳🇴 🇬🇧 🇩🇪 🇨🇿 🇫🇮

Meteor, poloha: Karlshus 2018-03-27 00:29:07 UTC

Soubor KML  |  InteraktivnĂ­ mapa

Mapa zobrazuje dráhy meteoru. Světlejší čáry ukazují směry od pozorovacích stanic při objevení se meteoru a tmavší čáry, kde byl naposledy viděn. Modrá šipka značí viditelnou dráhu meteoru.

static map
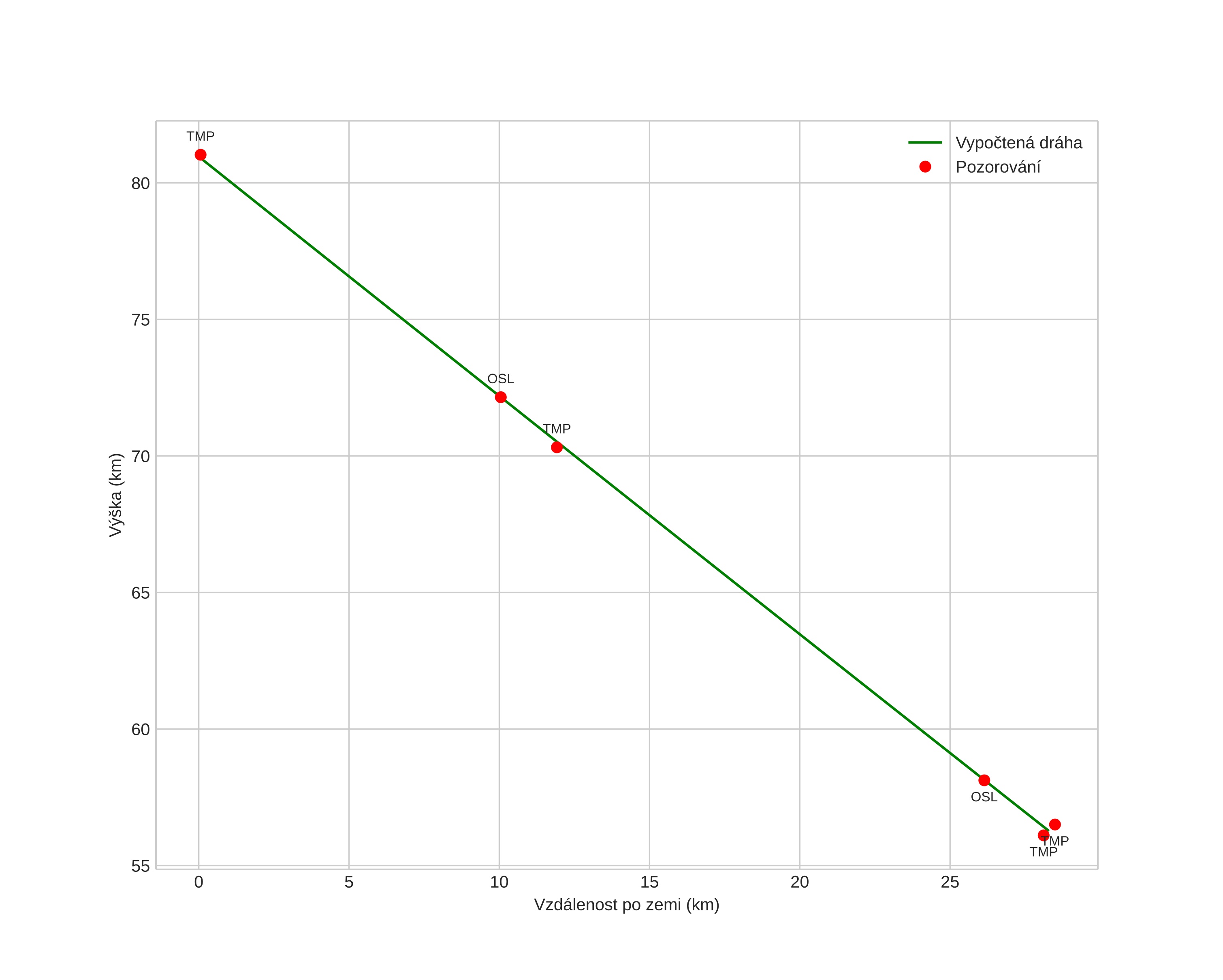
height profile
Atmosférická dráha meteoru:
Počáteční výška: 81,0 km
Konečná výška: 56,3 km
Počáteční poloha: 59,264N 10,503E
Konečná poloha: 59,413N 10,909E
Směr: 54,2°
Sklon: 41,1°
VstupnĂ­ rychlost: 17,9 km/s
Rektascenze radiantu: 10:31 (157,9°)
Deklinace radiantu: 14,2°
MeteorickĂ˝ roj: sporadickĂ˝
Elementy dráhy meteoroidu:
Vzdálenost v periheliu: 0,895 AU
Excentricita: 0,747
Sklon dráhy: 1,7°
Délka vzestupného uzlu: 6,1°
Argument perihelia: 220,7°
Střední anomálie: 355,8°
Epocha: 2018 MAR 27 00:29:07
orbit plot

NeinteraktivnĂ­ graf | InteraktivnĂ­ graf

position vs time
speed and acceleration