🇳🇴 🇬🇧 🇩🇪 🇨🇿 🇫🇮

Meteor Karlshusin yllä 2018-03-27 00:29:07 UTC

KML-tiedosto  |  Interaktiivinen kartta

Kartta näyttää meteorin suuntahavainnot. Vaaleammat viivat näyttävät suunnat havaintoasemilta meteorin ilmestyessä, ja tummemmat viivat näyttävät, missä se viimeksi nähtiin. Sininen nuoli näyttää meteorin näkyvän lennon.

static map
height profile
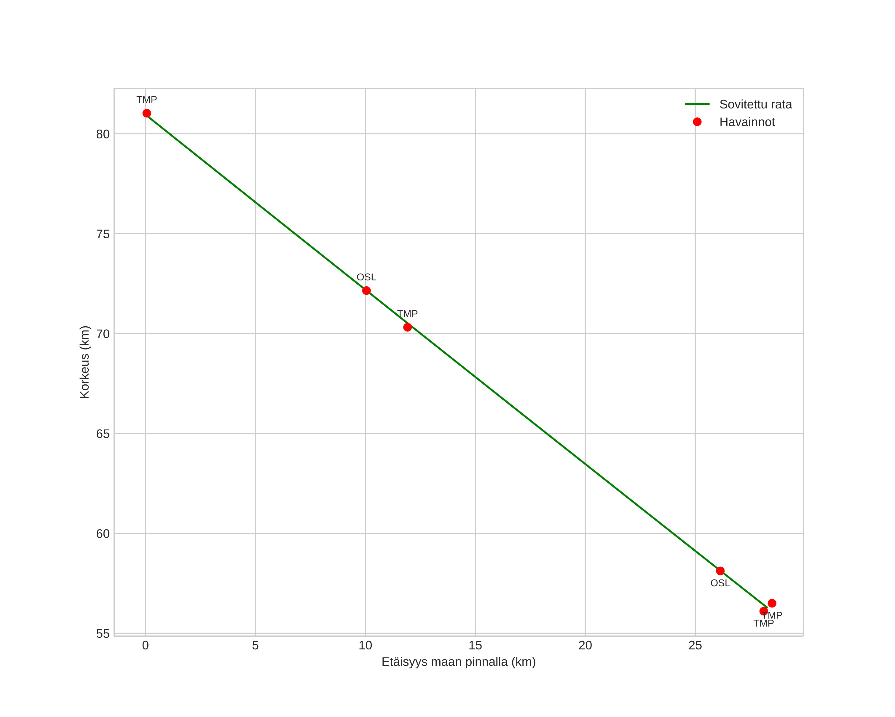
Meteorin ilmakehärata:
Alkukorkeus: 81,0 km
Loppukorkeus: 56,3 km
Alkupiste: 59,264N 10,503E
Loppupiste: 59,413N 10,909E
Suunta: 54,2°
Kallistuskulma: 41,1°
Tulonopeus: 17,9 km/s
Radiantin R,A,: 10:31 (157,9°)
Radiantin Dekl,: 14,2°
Meteoriparvi: Sporadinen
Meteoroidin rataelementit:
Perihelietäisyys: 0,895 AU
Eksentrisyys: 0,747
Inklinaatio: 1,7°
Nousevan solmun pituus: 6,1°
Perihelin argumentti: 220,7°
Keskianomalia: 355,8°
Epookki: 2018 MAR 27 00:29:07
orbit plot

Ei-interaktiivinen kuvaaja | Interaktiivinen kuvaaja

position vs time
speed and acceleration